Для случаев облучения от вращающихся и сканирующих антенн с частотой вращения или сканирования не более 1 Гц и скважностью не менее 20 и локального облучения рук при работах с микрополосковыми устройствами ППЭпду рассчитывается по формуле:
ППЭпду =
где: К – коэффициент снижения биологической активности воздействия, равный соответственно 10 и 12,5.
3. ТРЕБОВАНИЯ К ПРОВЕДЕНИЮ ИЗМЕРЕНИЯ УРОВНЕЙ ЭЛЕКТРОМАГНИТНЫХ ПОЛЕЙ РАДИОЧАСТОТ И СРЕДСТВАМ ИЗМЕРЕНИЯ
3.1. При проведении измерений в производственных условиях и других помещениях, в каждой точке выбранной для контроля ЭМП, измерения должны производиться на 3-х высотах от пола помещения: 0,5м; 1м; 1,7м.
В случае если оператор работает постоянно в позе «сидя», измерения ЭМП проводятся на высотах от пола соответственно положения головы, груди, малого таза.
3.2. Уровни ЭМП на рабочих местах контролируются измерениями в диапазоне частот 60 КГц – 300 МГц напряженностью электрической и магнитной составляющих, в диапазоне частот 300 МГц – 3000 ГГц плотностью потока энергии ЭМП с учетом пребывания в зоне облучения.
3.3. Измерения ЭМП следует проводить не реже одного раза в год, а также в следующих случаях:
- при вводе в действие новых установок, машин, оборудования;
- при внесении изменений в конструкцию, размещение и режим работы действующих установок, машин, оборудования;
- после проведения ремонтных работ;
- при внесении изменений в средства защиты от воздействия ЭМП;
- при организации новых рабочих мест;
- при аттестации рабочих мест;
- сертификационных испытаниях продукции;
- при переоформлении (продлении) санитарно-эпидемиологического заключения объекта.
3.4. Измерения необходимо выполнять при наибольшей загруженности источника ЭМП. Допускается проведение измерений в антенных полях передающих радиотехнических объектов при неполной излучаемой мощности с последующим пересчетом результатов измерений на условия максимального излучения.
3.5. При нескольких рабочих режимах источника ЭМП, различающихся параметрами генерации, видов и расположением рабочих элементов или излучающих систем, измерения следует проводить в каждом режиме.
3.6. Плотность потока энергии излучения вращающихся и сканирующих антенн измеряется при остановленной антенне в направлении максимума излучения при всех значениях угла наклона.
Для открытой местности с однородным рельефом результаты, полученные при одном направлении излучения, распространяются на весь сектор, охватываемый антенной при ее движении в радиусе, на котором производились измерения.
При неоднородном рельефе, наличии зданий или других сооружений, измерения необходимо производить на каждом рабочем месте при направлении излучения в место измерений.
3.7. Измерения ЭМП на открытой территории с целью определения размеров санитарно-защитной зоны и зон ограничения застройки проводятся на высотах 3, 6, 9 м. и т.д., в зависимости от этажности застройки.
Оценка результатов измерений ЭМП производится на основании расчета энергетической экспозиции за рабочий день. При этом в диапазоне частот
30 КГц до 3 МГц, учитываются энергетические нагрузки, создаваемые как электрическим полем, так и магнитным полем. Уровни воздействия ЭМП на рабочих местах считаются соответствующими гигиеническим требованиям при условии:
где ЭЭе и ЭЭн – энергетические нагрузки, характеризующие воздействия электрического и магнитного полей.
3.8. Если работающий на протяжении рабочего дня подвергается воздействию ЭМП различной интенсивности, рассчитывается суммарная ЭЭ путем сложения ЭЭ за соответствующие периоды времени, которая вычисляется по следующей формуле:
ЭНсум = ППЭ1Т1 + ППЭ2Т2 + …..ППЭнТн,
где ППЭ1,ППЭ2,ППЭн - значения ППЭ, измеренные в отдельных участках;
Т1,Т2,Тн - время пребывания в них.
На практике возможны случаи одновременного или последовательного облучения работающих от источников, работающих в непрерывном режиме, и от антенн кругового обзора и сканирования, тогда суммарная ЭЭ рассчитывается по формуле:
ЭЭппэсум = ЭЭппэ1 + ЭЭппэ2,
где ЭЭппэсум, суммарная энергетическая нагрузка, которая не должна превышать 200мкВ/см2 · ч; ЭЭппэ1 – ЭЭ, создаваемая непрерывным излучением; ЭЭппэ2 – ЭЭ, создаваемая излучением вращающихся или сканирующих антенн, равная 0,1 ППЭ2 · Т2.
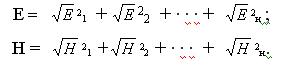
3.9. В диапазоне частот 60 КГц – 300 МГц в случае источников, работающих в частотных диапазонах для которых установлены единые значения ПДУ, суммарную интенсивность воздействия для электрической (Е) и магнитной (Н) составляющих ЭМП вычисляют по формулам:
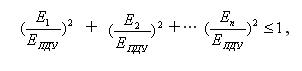
В случае, если в диапазоне частот 60 КГц – 300 МГц источники работают в частотных диапазонах, для которых установлены разные значения ПДУ, должно обеспечиваться следующее условие:
где Е1, Е2, Ен - измеренные значения напряженности электрической составляющей поля;
Епду1, Епду2, Ен - предельно-допустимые уровни воздействия для соответствующего частотного диапазона;
В случае одновременного воздействия на персонал ЭМП с различными нормируемыми параметрами соответствие уровней облучения гигиеническим нормативам достигается при условии:
3.10. Контроль уровней ЭМП должен производиться приборами, имеющими
действующие свидетельства о Государственной поверке в Центре по обеспечению метрологических услуг агентства «Узстандарт» (с 2007 года - сертификат соответствия), в строгом соответствии с инструкцией по эксплуатации приборов.
По конструктивному решению различают приборы двух типов: приборы с антеннами, требующих учета поляризации поля или направленного действия (NFM – 1, ПЗ-9), и измерители с изотропными датчиками (ПЗ-15, ПЗ-16,
ПЗ-17, ПЗ-18, ПЗ-19, ПЗ-20, ПЗ-21, ПЗ- 22, ПЗ-23, ПЗ-25), производителями которых является Россия. Первые измеряют ЭМП преимущественно в ближней зоне излучения, вторые как в ближней, так и дальних зонах излучений.
Высокой точностью измерений обладают приборы (EFA -1, EFA – 2,
EFA- 3, EMR-11, EMR -200, EMR- 300), производства Германия, обеспечивающие измерения в большей части диапазона радиочастот – от 5 Гц до 18 ГГЦ.
4. ПРОФИЛАКТИКА НЕБЛАГОПРИЯТНОГО ВОЗДЕЙСТВИЯ
ЭМП РАДИОЧАСТОТ
4.1. Защита персонала от неблагоприятного влияния ЭМП радиочастот обеспечивается организационными, инженерно-техническими и лечебно-профилактическими мероприятиями.
4.2. Организационные мероприятия включают в себя – выбор рациональных режимов работы, ограничение продолжительности пребывания в зоне воздействия ЭМП, соблюдение правил безопасной эксплуатации источников ЭМП.
4.3. Инженерно-технические мероприятия предусматривают применение коллективных и индивидуальных средств защиты от ЭМП (экранирование источников ЭМП или рабочего места), рациональное размещение источников ЭМП.
Номер документа: 0269-09
Дата принятия: 22.06.2009
Дополнительно: Приложение к СанПин "ПРОТОКОЛ №_____ измерения ЭМП радиочастотного диапазона"

Форма обратной связи
Сайты Единой информационной сети
Медицинского портала Узбекистана
Вопросы-ответы