o`zb   рус   eng
Медицинский портал Узбекистана
 Победитель интернет фестиваля национального домена 2013
Главная Поиск Обратная связь Карта сайта Версия для печати rss

Подписка на рассылку

СанПиН РУз № 0183-05. Гигиенические требования к качеству почвы населенных мест в специфических природно- климатических условиях Узбекистана

10.01.2005

САНИТАРНЫЕ ПРАВИЛА И НОРМЫ, ГИГИЕНИЧЕСКИЕ
НОРМАТИВЫ РЕСПУБЛИКИ УЗБЕКИСТАН

Гигиенические требования к качеству почвы населенных мест в специфических природно- климатических условиях Узбекистана

СанПиН РУз № 0183-05

Издание официальное

Ташкент-2005 г.

 
«УТВЕРЖДАЮ»
Главный Государственный
санитарный врач
Республики Узбекистан
_______ С.С. САИДАЛИЕВ
« 10 » _ 01_ 2005 г.

Несоблюдение санитарных норм, правил и гигиенических нормативов преследуется по закону.

Настоящие гигиенические нормативы, санитарные правила и нормы обязательны для соблюдения всеми предприятиями, организациями, объединениями, учреждениями, независимо от форм собственности, и отдельными лицами


УЧРЕЖДЕНИЯ - РАЗРАБОТЧИКИ:

- НИИ санитарии, гигиены и профзаболеваний МЗ РУз

- Второй Ташкентский Государственный медицинский институт

- Ташкентский педиатрический медицинский институт

СОСТАВИТЕЛИ:

- Д.м.н., проф. ИЛЬИНСКИЙ И.И. (НИИСГПЗ МЗ РУз)

- Д.м.н., проф. ИСКАНДАРОВА Г.Т. (2-ТашГосМИ)

- Д.м.н., проф. ИСКАНДАРОВА Ш.Т. (ТашПМИ)

РЕЦЕНЗЕНТЫ:

- Д.м.н., проф. ИСХАКОВ А.И. (ТашИУВ МЗ РУз)

- К.м.н. КУЧКАРОВА М.Р. (НИИ СГПЗ МЗ РУз)

Председатель экспертной комиссии НИИ санитарии, гигиены и профзаболеваний МЗ РУз:

– Д.м.н. КАМИЛЬДЖАНОВ А.Х.

© НИИ санитарии, гигиены и профзаболеваний МЗ РУз

1.Ообщие положения

1.1. В настоящее время во многих промышленных районах республики, где расположены крупные города с высокой концентрацией населения и большим промышленным потенциалом, отмечается рост антропогенного и техногенного воздействия на все объекты окружающей среды, в том числе на почву. Вокруг крупных промышленных объектов черной и цветной металлургии, ряда отраслей химической промышленности, некоторых других объектов наблюдается значительное загрязнение почвы экзогенными химическими веществами, многие из которых токсичны для человека и животных. В таких условиях особую актуальность приобрела проблема гигиенической оценки степени загрязнения почвы этими веществами и опасности такого загрязнения для здоровья населения.

1.2. С гигиенических позиций опасность загрязнения почвы химическими веществами определяется уровнем её возможного отрицательного влияния на контактирующие среды (вода, воздух), пищевые продукты и опосредовано на человека, а также на биологическую активность почвы и процессы её самоочищения. При этом, методические подходы к оценке степени опасности загрязнения почвы их возможного воздействия на системы «почва - растение», «почва - микроорганизмы», «почва – биологическая активность», «почва – грунтовые воды», «почва – атмосферный воздух» и опосредовано на здоровье человека.

1.3. Основным критерием гигиенической опасности загрязнения почвы вредными веществами является предельно допустимая концентрация (ПДК) химических веществ в почве, которая представляет собой компенсаторный показатель безвредного для человека содержания химических веществ в почве, так как используемые при их научном обосновании критерии отражают все возможные пути опосредованного воздействия загрязнителя на контактирующие среды, биологическую активность почвы и процессы её самоочищения. При этом, особо важное значение приобретает определение класса опасности обнаруженных в почве вредных химических веществ.

1.4. Методические рекомендации, санитарные правила и нормы предназначены для работников санэпидслужбы, научных учреждений гигиенического профиля, кафедр гигиены медицинских вузов и институтов усовершенствования врачей, учреждений агрохимической службы, контролирующих и проектных организаций.

1.5. После утверждения данных санитарных правил и норм теряет силу «Методические рекомендации по гигиенической оценке степени опасности загрязнения почвы для здоровья населения» (1994 г.).

2. Определение класса опасности вредных веществ

2.1. Гигиеническая оценка степени опасности химических вредных веществ для человека проводится с учетом класса их опасности, причем в первую очередь по наиболее токсичным химическим веществам: 1 класс – чрезвычайно опасные вещества, 2 класс – высоко опасные вещества, 3 класс – умеренно опасные вещества, 4 класс – мало опасные вещества.

2.2. При отсутствии в используемых нормативных и проектных документах указаний на класс опасности химического вещества, он определяется по так называемому индексу опасности. При этом могут проводиться расчеты индекса опасности по ПДК вредного вещества в почве, ЛД50 вредного вещества, классу опасности вредного вещества в воздухе рабочей зоны.

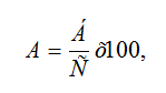
2.3. При наличии ПДК вредного вещества в почве, которые приведены в СанПиН РУз № 0055-96 «Предельно допустимые концентрации (ПДК) и ориентировочно допустимые концентрации (ОДК) экзогенных вредных веществ в почве», расчет индекса опасности приводится по следующей формуле (1):

0183 1.png

где ПДКi – ПДК токсического химического вещества, содержащегося в

почве (мг/кг);

S i – коэффициент, отражающий растворимость вещества в воде (мг/л);

Св – содержание данного компонента в общей массе пром.отходов, которые вносятся в почву (т/т);

i - порядковый номер данного компонента или токсического вещества.

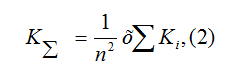
Рассчитав Ki для каждого вещества, выбирают 1-3 ведущих веществ, имеющих минимальное значение Ki, причем соблюдают соотношение К123, а также 2Кi≥ К 3. Затем определяют суммарный индекс токсичности (КΣ) по формуле (2):

0183 2.png

где n ≤ 3.

2.4. Класс опасности химических веществ в почве определяют по табл.1.

Таблица 1.Классификация опасности химических веществ на основе величин ПДК этих веществ в почве

Суммарный индекс опасности К

Класс

опасности

Степень опасности для населения

менее 2

1

чрезвычайно опасные

от 2 до 16

2

высоко опасные

от 16 до 30

3

умеренно опасные

более 30

4

мало опасные

2.5. При отсутствии ПДК вредного химического вещества в почве определение его класса опасности проводится для каждого вещества отдельно по формуле (3), используя величину ЛД50 для этого вещества:

0183 3.png (3)

где Si – коэффициент растворимости данного вещества в воде, мг/л;

F – коэффициент летучести данного вещества, %;

i - порядковый номер данного вещества.

При расчетах следует соблюдать условия, что К123 и 2Кi≥ К3; затем рассчитывают К Σ по формуле (2), получают безмерный коэффициент, после чего определяют класс опасности вещества с помощью вспомогательной табл.2.

Таблица 2. Классификация опасности химических веществ по ЛД50

Величина суммарного индекса опасности К

Класс

опасности

Степень опасности для населения

менее 1,3

1

чрезвычайно опасные

от 1,3 до 3,3

2

высоко опасные

от 34 до 10

3

умеренно опасные

более 10

4

мало опасные

2.6. При отсутствии ПДК вредного вещества в почве и ЛД50 для этого вещества, но при наличии величин классов опасности их в воздухе рабочей зоны, расчет класса опасности может быть проведен по условным величинам ЛД50 в соответствии с табл.3.

По вычисленным величинам ЛД50 по формуле (3) определяется класс опасности того или иного вещества.

2.7. При наличии комбинации вредных химических веществ в почве класс их опасности также определяется по индексу опасности, который можно рассчитывать по следующей формуле (4): 

0183 4.png (4)

где А – атомный вес соответствующего элемента;

М – молекулярная масса химического соединения, в которое входит данный элемент;

S - растворимость химического соединения в воде, мг/л;

а - среднее арифметическое из 6 ПДК химического вещества в разных пищевых продуктах (мясо, рыба, молоко, хлеб, овощи, фрукты);

ПДК – ПДК элемента в почве.

Таблица 3.Классы опасности в воздухе рабочей зоны и соответствующие им условные величины ЛД50

Класс опасности вещества в

воздухе рабочей зоны

Эквивалентные и условные

величины ЛД50, мг/кг

1

15

2

150

3

5000

4

более 5000

Затем по величине индекса опасности можно рассчитать класс опасности вещества по табл.4:

Таблица 4. Класс опасности при наличии комбинации вредных химических веществ

Значение индекса

Класс

опасности

Характер опасности для населения

4,1 и более

1

чрезвычайно опасные

от 2,6 до 4

2

высоко опасные

от 0,1 до 2,5

3

умеренно опасные

менее 0,1

4

мало опасные

3. Основные требования к программе

обследования почв

3.1. Программа обследования почвы определяется целями и задачами исследования, причем необходимо учитывать санитарно-эпидемическое состояние района, уровень и характер техногенной нагрузки на почву, условия землепользования и другие моменты, характерные для данного района.

Рекомендуется, в первую очередь, проводить обследование почвы территорий повышенного риска по возможности воздействия загрязнения на здоровье населения. К таким территориям относят дошкольные, школьные и лечебные учреждения, селитебные территории, зоны санитарной охраны водоёмов, питьевого водоснабжения, рекреационные зоны и т.д.

3.2. Контроль за загрязнением почв населенных пунктов проводится с учетом функциональных зон города. На территорию, подлежащую контролю, составляют описание с указанием адреса, точек отбора, общего рельефа микрорайона, расположения мест отбора и источников загрязнения, растительного покрова, характера землепользования, уровня грунтовых вод, типа почвы и других данных, необходимых для правильной оценки и трактовки результатов анализов образцов.

3.3. При контроле за загрязнением почв промышленными источниками площадки для отбора проб располагают на площади 3-х кратной величины санитарно-защитной зоны вдоль векторов розы ветров на расстоянии 100-200-300-500-1000-2000-5000 м и более от источника загрязнения.

3.4. Для контроля санитарного состояния почв детских дошкольных, школьных и лечебно-профилактических учреждений, игровых площадок и зон отдыха отбор проб проводят не менее 2-х раз в год (весной и осенью). Размер пробной площадки должен быть не более 5х5 м, а пробы отбираются с глубины 0-10 см.

3.5. При контроле почв в районе точечных источников загрязнения (выгреба, мусоросборники и т.п.) пробные площадки размером не более 5х5 м, закладываются на разном расстоянии от источника и в относительно чистом месте (контроль).

3.6. При изучении загрязнения почв транспортными магистралями пробные площадки закладываются на придорожных полосах с учетом рельефа местности, растительного покрова, метео- и гидрологических условий; при этом, пробы отбирают с узких полос длиной 200-500 м на расстоянии 0-10, 10-50, 50-100 м от полотна дороги. Одна смешанная проба составляется из 20-25 точечных, отобранных с глубины 0-10 см.

3.7. При оценке почв сельскохозяйственных территорий пробы почвы отбирают 2 раза в год (весна и осень) с глубины 0-25 см. На каждые 0-15 га закладывается не менее одной площадки размером 100-200 м2 в зависимости от рельефа местности и условий землепользования.

3.8. Точечные пробы отбирают с соблюдением стерильности для санитарно-микробиологического и гельминтологического анализов в доверху заполненные контейнеры с притертыми крышками при определении загрязнения летучими веществами, на пробной площадке методом конвертов. Объединенную пробу составляют из равных по объему точечных (не менее пяти), отобранных на одной площадке. Объединенные пробы должны быть упакованы в чистые полиэтиленовые пакеты, закрыты, маркированы, зарегистрированы в журнале отбора проб и пронумерованы. На каждую пробу составляют сопроводительный талон. Время отбора проб до начала их исследований не должно превышать 1 суток.

3.9. Подготовка проб к анализу проводится в соответствии с видом анализа. В лаборатории проба освобождается от посторонних примесей, доводится до воздушно-сухого состояния, тщательно перемешивается и делится на части для проведения анализа. Отдельно остаётся контрольная часть от каждой анализируемой пробы (около 200 г) и хранится в холодильнике 2 недели на случай арбитража.

3.10. Перечень показателей химического и биологического загрязнения почв определяется исходя из: целей и задач исследований, характера землепользования (см. СанПиН РУз № 0057-96); специфики источников загрязнения, определяющих характер, состав и уровень загрязнения изучаемой территории, приоритетности компонентов загрязнения в соответствии со списком ПДК и ОДК химических веществ в почве и их класса (см. СанПиН РУз № 0055-96).

4. Оценка степени химического загрязнения почв

4.1. Основными критериями гигиенической оценки загрязнения почв химическими веществами является ПДК или ОДК химических веществ в почве. При этом, оценка степени опасности загрязнения почвы химическими веществами проводится по каждому веществу с учетом следующих общих закономерностей:

- опасность загрязнения тем выше, чем больше фактическое содержание компонентов загрязнения почвы превышает ПДК, что может быть выражено коэффициентом К о = С/ПДК, т.е. опасность загрязнения тем выше, чем больше Ко превышает единицу;

- опасность загрязнения тем выше, чем выше класс опасности контролируемого вещества, его персистентность, растворимость в воде и подвижность в почве и глубина загрязненного слоя;

- опасность загрязнения тем больше, чем меньше буферная способность почвы, которая зависит от механического состава, содержания органического вещества, кислотности почвы. Чем ниже содержание гумуса, рН почвы и легче механический состав, тем опаснее её загрязнение химическими веществами.

4.2. При загрязнении почвы одним веществом неорганической природы оценка степени загрязнения проводится в соответствии с табл.5 с учетом класса опасности компонента загрязнения, его ПДК и максимального значения допустимого уровня содержания элемента (Кmax) по одному из 4-х показателей вредности.

Таблица 5. Критерии оценки степени загрязнения почвы неорганическими ЭХВ

Содержание в почве, мг/кг

Категория загрязнения почвы

Класс опасности вещества

1 класс

2 класс

3 класс

> Кmax

очень сильная

очень сильная

сильная

от ПДК до Кmax

очень сильная

сильная

средняя

от 2 фоновых значений до ПДК

слабая

слабая

слабая

4.3. При загрязнении почвы одним веществом органического происхождения его опасность определяется, исходя из его ПДК и класс опасности (табл.6).

4.4. При полиэлементном загрязнении оценка степени опасности загрязнения почвы допускается по наиболее токсическому элементу с максимальным содержанием в почве.

Таблица 6. Критерии оценки степени загрязнения почвы органическими веществами

Содержание в почве, мг/кг

Категория загрязнения почвы

Класс опасности вещества

1 класс

2 класс

3 класс

> 5 ПДК

очень сильная

очень сильная

сильная

от 2 до 5 ПДК

очень сильная

сильная

средняя

от 1 до 2 ПДК

слабая

слабая

слабая

4.5. Оценка уровня химического загрязнения почв как индикатора неблагоприятного воздействия на здоровье населения проводится по 2 показателям: коэффициенту концентрации химического вещества (Кс) и суммарному показателю загрязнения (Zс).

Кс определяется отношением фактического содержания определяемого вещества в почве (С) в мг/кг почвы к региональному фоновому (Сф), при этом:

0183 5.png

Суммарный показатель загрязнения равен сумме коэффициентов концентраций химических элементов – загрязнителей, выраженных формулой:

Zc = (K1 + … + Kn) – (n-1),

где n – число определяемых суммируемых веществ;

К1 – коэффициент концентрации 1-ого компонента загрязнения.

4.6. Оценка степени опасности загрязнения почв комплексом металлов по показателю Zc, отражающему дифференцию загрязнения воздушного бассейна города, как металлами, так и другими ингредиентами (пыль, окись углерода, окислы азота, сернистый ангидрид) проводится по оценочной шкале, приведенной в табл.7.

4.7. Оценка неблагоприятных последствий почв при их непосредственном воздействии на организм человека важна для случаев геофагии у детей при играх на загрязненных почвах. Такую оценку проводят по наиболее распространенному в населенных пунктах загрязняющему веществу – свинцу, повышенное содержание которого в почвах города, как правило, сопровождается увеличением содержания и других элементов. При систематическом нахождении свинца в почве игровых площадок в пределах 300 мг/кг можно ожидать изменение психоневрологического статуса у детей. Безопасным считается загрязнение свинцом на уровне ПДК его в почве.

Таблица 7. Ориентировочная оценочная шкала опасности загрязнения почвы по суммарному показателю загрязнения

Категория загрязнения почвы

Величина Zi

Изменение показателей здоровья населения в очагах загрязнения

Допустимая

менее 16

Наиболее низкий уровень заболеваемости детей и минимальная частота встречаемости функциональных отклонений

Умеренно опасная

16-32

Увеличение общей заболеваемости

Опасная

32-128

Увеличение общей заболеваемости, числа часто болеющих детей, детей с хроническими заболеваниями, наруше-ниями функционального состояния сердечнососудистой системы

Чрезвычайно опасная

более 128

Увеличение заболеваемости детей, нарушение репродуктивной функции женщин (увеличение токсикозов беременности, числа преждевременных родов, мертворождаемости, гипотрофий новорожденных)

4.8. Оценка почв сельскохозяйственного использования проводится в соответствии с принципиальной схемой, приведенной в табл.8.

Таблица 8. Принципиальная схема оценки почв сельскохозяйственного использования, загрязненных химическими веществами

Категория загрязнения

Характеристика загрязнения

Возможность использования

Предлагаемые мероприятия

1.Допустимая

содержание вещества в почве превышает фон, но ниже ПДК

без ограничений под любые культуры

снижение воздействия источников загрязнения. Мероприятия по снижению доступности токсикантов для растений (известкование, внесение органических удобрений и т.п.)

2.Умеренно опасная

содержание вещества в почве превышает ПДК по 3 показателям, но ниже по транслокац.пока-зателю

то же, но при условии контроля качества с/х продукции

те же мероприятия, но при проведении контроля за содержанием веществ в зоне дыхания и воде местных источников

3.Высоко опасная

содержание вещества в почве превышает ПДК при лимит. транслокац. показ. Вредности

под технические культуры

мероприятия категории 1, контроль за растениями – продуктами питания и кормами. Перемешивание их с продуктами, выращенными на чистой почве. Ограниченное использование зеленной массы на корм скоту

4.Чрезвычайно опасная

содержание вещества в почве выше ПДК по всем показателям вредности

под технические культуры. исключение из с.-х. использ. лесозащитные полосы

снижение уровня загрязнения, связывание токсикантов в почве. Контроль содержания токсикантов в зоне дыхания и воде местных источников

5. Оценка санитарного состояния почвы по санитарно-химическим показателям

5.1. Санитарно-химическими показателями санитарного состояния почв является санитарное число С, а также такие химические показатели как аммонийный азот, нитратный азот и хлориды.

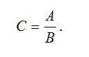
5.2. Санитарное число С – это отношение количества «почвенного белкового (гумусного) азота А» в мг на 100 г абсолютно сухой почвы к количеству «органического азота В» в мг на 100 г абсолютно сухой почвы. Используется формула:

0183 6.png 

Оценка санитарного состояния почвы по этому показателю проводится в соответствии с табл.9.

Таблица 9. Оценка чистоты почвы по «санитарному числу»

(по Н.И.Хлебникову)

Характеристика почв

Санитарное число

Практически чистая

0,98 и более

Слабо загрязненная

от 0,85 до 0,98

Загрязненная

от 0,70 до 0,85

Сильно загрязненная

меньше 0,70

5.3. Химическими показателями процессов разложения азотсодержащего органического вещества в почве является аммиачный и нитратный азот.

Аммонийный азот, нитратный азот и хлориды характеризуют уровень загрязнения почвы органическими веществами. Такая оценка должна осуществляться в условиях динамического исследования путем сравнения с незагрязненной почвой.

6. Оценка степени загрязнения почвы по санитарно-бактериологическим показателям

6.1. Оценка санитарного состояния почвы и степени её загрязнения проводится по косвенным и прямым санитарно-бактериологическим показателям: первые характеризуют интенсивность биологической нагрузки на почву, вторые – эпидемическую опасность почвы. К первым относятся санитарно – показательные организмы группы кишечной палочки (коли-индекс) и фекальные стрептококки (индекс энтерококков); ко вторым – возбудители кишечных инфекций, патогенные энтеробактерии, энтеровирусы. Результаты проведенных анализов оцениваются в соответствии с табл.10.

Таблица 10. Схема оценки эпидемической опасности почв в

населенных пунктах

Определяемые

показатели

Зоны повышенного риска

Зоны сан.охраны

водоёмов

Сан.-защитные

зоны

1

2

1

2

1

2

Кишечные палочки

1-9

10 и

выше

1-9

10 и

выше

1-99

100 и выше

Энтеробактерии

1-9

10 и

выше

1-9

10 и

выше

1-99

100 и выше

Патогенные энтеробактерии

-

+

1-9

10 и

выше

-

+

Энтеровирусы

-

+

-

+

-

+

Яйца гельминтов (шт/кг), аскарид, онкосфер, тениид

-

+

-

+

до 5

свыше 5

Цисты кишечных патогенных простейших (экз/100 г)

до 5

свыше 5

Личинки (Л) и куколки (К) мух, экз. в почве с площадки 20х20 см

-

Л – до 10

К - отсутствие

-

Л – до 10

К - отсутствие

-

Л – до 10

К - отсутствие

Примечание. Графа 1 – чистая почва, графа 2 – загрязненная почва.

6.2. Почву оценивают как «чистую» без ограничений по санитарно-бактериологическим показателям при отсутствии патогенных бактерий и индексе санитарно-показательных микроорганизмов до 10 клеток на 1 г почвы.

О возможности загрязнения почвы сальмонеллами свидетельствует индекс санитарно-показательных микроорганизмов (БГКП и энтерококков) 10 и более клеток/г почвы.

Концентрация коли-фага в почве на уровне 10 БОЕ на г и более свидетельствует об инфицировании почвы энтеровирусами.

7. Оценка степени загрязнения почвы по санитарно-паразитологическим показателям

7.1. Почва достаточно часто загрязняется возбудителями кишечных паразитарных заболеваний (гельминтозы, лямблиоз, амебиаз и др.). Это связано с тем, что для яиц геогельминтов почва является средой прохождения их биологического цикла развития, а для биогельминтов – до 1 года, цисты кишечных патогенных простейших – от нескольких дней до 3-6 месяцев; а из почвы возбудители паразитарных болезней могут попадать на руки, одежду, овощи, фрукты, в воду поверхностных водоисточников, что создаёт условия для повышенного риска заражения людей и животных.

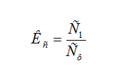
7.2. При оценке эпидемической опасности и степени загрязнения почвы возбудителями паразитарных болезней определяют вид возбудителя, их жизнеспособность и инвазионность, экстенсивный показатель загрязнения «А» - отношение числа положительных проб «Б» (проб почвы, в которой обнаружены возбудители паразитарных болезней), к общему числу исследованных проб («С») в процентах:

0183 7.png

а также интенсивный показатель загрязнения – общее содержание возбудителей паразитарных болезней в 1 кг (или 100 г) почвы.

7.3. Количественные критерии паразитологического загрязнения почв различных территорий представлены выше в табл.10.

8. Оценка степени загрязнения почвы по санитарно-энтемологическим показателям

8.1. Санитарно-энтомологические показатели характеризуют число личинок и куколок синантропных мух в почве. Синантропные мухи имеют важное эпидемиологическое значение, так как являются механическими переносчиками возбудителей ряда инфекционных заболеваний. Наиболее вероятными местами выплода мух обычно являются места скопления разлагающихся органических веществ и почва вокруг них на расстоянии до 1 м.

8.2. Критерием оценки санитарно-эпидемиологического состояния почвы является отсутствие или наличие преимагиальных (личинки и куколки) форм синантропных мух в ней на площадке размером 20х20 см (по данным табл.10).

8.3. Наличие личинок и куколок в почве населенных мест указывает на неудовлетворительное состояние почвы и плохую очистку территории, неправильный в санитарном отношении сбор и хранение бытовых отходов и их несвоевременное удаление.

9. Показатели биологической активности почвы

9.1. Основными интегральными показателями биологической активности почвы являются: общая микробная численность (ОМЧ), численность основных групп почвенных микроорганизмов (почвенных сапрофитных бактерий, актиномицетов, почвенных микроминетов), показатели интенсивности трансформации соединений углерода и азота в почве («дыхание почвы», «санитарное число», динамика азота аммиака и нитратов в почве, «азотфиксация», аммонификация, нитрофикация, денитрофикация), динамика кислотности и окислительно-восстановительного потенциала в почве, активность ферментных систем.

9.2. На первом этапе исследований целесообразно использование наиболее простых и быстро определяемых информативных интегральных показателей: «дыхание почвы», ОМЧ, окислительно-восстановительный потенциал и кислотность почвы, динамика азота аммиака и нитратов. Дальнейшие исследования определяются результатами и общими задачами исследований.

9.3. Почву можно считать «незагрязненной» по показателям биологической активности при изменениях в микробиологических показателях не более 50% и биохимических показателях – не более 20% по сравнению с такими же для контрольных, принятых в качестве чистых незагрязненных почв.

10. Заключение о санитарном состоянии почв

10.1. Заключение о санитарном состоянии почв обследуемой территории даётся на основании результатов проведенных комплексных исследований с учетом: санитарно-эпидемиологической ситуации в районе обследования; требований, предъявляемых к уровням загрязнения почв в зависимости от их хозяйственного использования; общих закономерностей, приведенных в данном документе, определяющих поведение химических элементов и соединений – загрязнителей почвы.

Примечание.

При составлении данного документа использованы материалы, приведенные в медицинских указаниях РФ МУ 2.1.7.730-99.


Номер документа:  № 0183-05
Дата принятия:  10.01.2005

Последние события

Реклама

Реклама на сайте

Rambler's Top100         MedLinks - Вся медицина в Интернет                 Яндекс.Метрика
Сертифицированный партнёр 1с-Битрикс

Copyright © WWW.MED.UZ - Медицинский портал Узбекистана, 2005-2026 
Все права защищены. Вся информация, размещённая на данном веб-сайте, предназначена только для
персонального использования и не подлежит дальнейшему воспроизведению и/или распространению
в какой-либо форме, иначе как с письменного разрешения компании MedNetSoft

Контакты:
Tel.: +998 (71) 200-92-22
Fax.: +998 (71) 200-92-22
e-mail:
info@mednetsoft.uz