o`zb   рус   eng
Медицинский портал Узбекистана
 Победитель интернет фестиваля национального домена 2013
Главная Поиск Обратная связь Карта сайта Версия для печати rss

Подписка на рассылку

СанПиН РУз № 0182-05.Гигиненичские требования к качеству воды нецентрализованного водоснабжения и санитарная охрана источников в условиях Узбекистана

10.01.2005

САНИТАРНЫЕ ПРАВИЛА И НОРМЫ, ГИГИЕНИЧЕСКИЕ
НОРМАТИВЫ РЕСПУБЛИКИ УЗБЕКИСТАН

Гигиненичские требования к качеству воды нецентрализованного водоснабжения и санитарная охрана источников в условиях Узбекистана

СанПиН РУз № 0182-05

Издание официальное

Ташкент-2005 г.

 
«УТВЕРЖДАЮ»
Главный Государственный
санитарный врач
Республики Узбекистан
_______ С.С. САИДАЛИЕВ
« 10 » ____01_____ 2005 г.

Несоблюдение санитарных норм, правил и гигиенических нормативов преследуется по закону.

Настоящие гигиенические нормативы, санитарные правила и нормы обязательны для соблюдения всеми предприятиями, организациями, объединениями, учреждениями, независимо от форм собственности и отдельными лицами.

Учреждения - разработчики:

- НИИ санитарии, гигиены и профзаболеваний МЗ РУз

-Второй Ташкентский государственный медицинский

институт

- Ташкентский педиатрический медицинский институт

СОСТАВИТЕЛИ:

д.м.н., проф. ИЛЬИНСКИЙ И.И.

д.м.н. проф. ИСКАНДАРОВА Г.Т.

д.м.н. проф. ИСКАНДАРОВА Ш.Т.

к.м.н. БЕКЖАНОВА Е.Е.

РЕЦЕНЗЕНТЫ:

д.м.н., проф. ИСХАКОВ А.И. (ТашИУВ)

д.м.н. САДЫКОВ А.У.

Председатель экспертной комиссии НИИ санитарии,

гигиены и профзаболеваний МЗ РУз

– д.м.н. КАМИЛЬДЖАНОВ А.Х.

1. Общие положения

1.1. Настоящие санитарные правила устанавливают гигиенические требования к качеству воды источников централизованного водоснабжения, к выбору места расположения, оборудованию и содержанию водозаборных сооружений и прилегающей к ним территории.

1.2. Нецентрализованным водоснабжением является использование для питьевых и хозяйственных нужд населения воды подаваемых источников, забираемой с помощью разных сооружений и устройств, открытых для общего пользования или находящихся в индивидуальном пользовании, без подачи её к местам расходования.

1.3. Источниками централизованного водоснабжения обычно являются подземные воды, захват которых происходит с помощью специального оборудования и устройств водозаборных сооружений (шахтные и трубчатые колодцы, каптажи родников) общего и индивидуального пользования.

1.4. Санитарные правила являются обязательными для соблюдения юридическими лицами, индивидуальными предпринимателями и гражданами.

1.5. Контроль за соблюдением требований санитарных правил осуществляется Центрами ГСЭН в соответствии с Законом Республике Узбекистан “О Государственном санитарном надзоре” (1992г.)

2. Теребования к местам расположения водозаборных сооружений централизованного водоснабжения

2.1. Выбор места расположения водозаборных сооружений нецентрализованного водоснабжения имеет приоритетное значение для сохранения качества питьевой воды, предотвращения её бактериального или химического загрязнения, предупреждения заболеваемости населения инфекциями, передающимися водным путем, а также профилактика возможных интоксикаций.

2.2. Выбор место расположения водозаборных сооружений осуществляется их владельцам с привлечением соответствующих специалистов и проводится на основании геологические и гидрогеологических данных, а также результатов санитарного обследования близлежащей территории.

2.3. Представляемые данные должны содержать сведения о глубине залегания грунтовых вод, направлении потока их в плане населенного пункта, мощности водного пласта, его связи с близко расположенными поверхностными и подземными водоисточниками, а также информацию о санитарном состоянии места расположения водозаборного сооружения и прилегающей территории с указанием существующих и возможных источников микробного и химического загрязнения воды.

2.4. Место расположения водозаборных сооружений следует выбирать на незагрязненном участке, удаленном не менее чем на 50 м выше по потоку грунтовых вод от существующих и возможных источников загрязнения воды (микробного и химического): выгребных туалетов, складов удобрений и ядохимикатов, канализационных сооружений, предприятий и др.

Место расположения водозаборных сооружений в каждом конкретном случае должно быть согласовано с территориальном Центром ГСЭН.

2.5. Водозаборные сооружения нецентрализованного водоснабжения не должны устраиваться на участках, затапливаемых поводковыми водами, в заболоченных местах, подверженных деформации. Их нельзя располагать ближе 30 метров от магистралей с интенсивным движением транспорта.

2.6. Количество населения, пользующегося нецентрализованного источникам водоснабжения, определяется в каждом конкретном случае, исходя из дебита источника и принятых норм водопотребления. При этом, водозаборные сооружения должны обеспечивать прохождение всего требуемого объема воды.

3. Основные типы водозаборных сооружений централизованного водоснабжения.

3.1. Правильное устройство и оборудования водозаборных сооружений позволяет решить не только вопросы надежности и долговечности таких сооружений, удобства пользования ими, но и защиты воды от загрязнения и засорения.

Наиболее распространенными водозаборными сооружениями в населенных местах республики являются шахтные и трубчатые колодцы различных конструкций и глубины, а также каптажи родников (ключей).

3.2. Шахтные колодцы предназначены для получения подземных вод из первого от поверхности безнапорного водоносного горизонта.

Такие колодцы представляют обычно шахту круглой или квадратной формы и состоят из оголовка, ствола и водоприемной части. Оголовок (надземная часть колодца) служит для защиты шахты от засорения и загрязнения, а также для наблюдения, водоподъема, водозабора и должна быть не менее чем на 0,7-0,8 м выше поверхности земли, а также иметь крышку.

Ствол (шахта) служит для прохода водоподъемных приспособлений, а также в ряде случаев и для размещения водоподъемных механизмов. Стенки шахты должны быть плотными, хорошо изолирующими колодец от проникновения поверхностного стока, а также верховодки. Для облицовки стенки колодца, в первую очередь, рекомендуются бетонные или железобетонные кольца, можно использовать камень, кирпич, дерево.

Водоприемная часть колодца служит для притока и накопления грунтовых вод, её следует заглублять в водоносный слой; для предупреждения выпирания грунта со дна колодца, появления мути в воде и облегчения чистки на дне колодца отсыпается обратный фильтр.

3.3. Трубчатые колодцы предназначены для получения подземных вод из разных водоносных пластов, в связи с чем они могут быть разной глубины: они обычно состоят из обсадной трубы различного диаметра, насоса и фильтра. Мелкие трубчатые колодцы (абиссинские) могут быть индивидуального и общественного пользования; глубокие (артезианские скважины), как правило, общественного пользования.

Устройство и оборудование скважин осуществляется в соответствии со строительными нормами и правилами (КМК) Республики Узбекистан. При оборудовании трубчатых колодцев (фильтры, защитные сетки, детали насосов и др.) используются материалы, реагенты и малогабаритные очистные устройства, разрешенные Минздравом РУз для применения в практике хозяйственно-питьевого водоснабжения. Подъем воды из трубчатых колодцев производится с помощью ручных или электрических насосов.

3.4. Каптажи предназначены для сбора выклинивающихся на поверхность подземных вод из восходящих или нисходящих родников (ключей) и представляют собой специально оборудованные водосборные камеры различной конструкции. Забор воды из восходящих родников осуществляется через дно каптажной камеры, из нисходящих – через отверстие в стене камеры.

Каптажные камеры нисходящих родников должны иметь водонепроницаемые стены (за исключением стены со стороны водоносного горизонта) и дно, что достигается путем устройства “замка” из мятой, утрамбованной глины. Камеры восходящих родников оборудуются глиняным “замком” по всему периметру стен. Материалом стен может быть бетон, кирпич или дерево.

Камеры должны иметь горловину с люком и крышкой, оборудованы водозаборной и переливной трубами, иметь трубу опорожнения диаметром не менее 100 мм. Вентиляционную трубу и должны быть помещены в специальные наземные сооружения в виде павильона или будки. Территория вокруг каптажа должна быть ограждена.

В целях предохранения каптажной камеры от заноса песком устраивается обратный фильтр со стороны потока воды, а для освобождения воды от взвеси каптажную камеру разделяют переливной стенкой на 2 отделения: одно - для отстаивания воды и последующей её очистки от осадка, второе – для забора осветленной воды.

4. Требования к качеству воды централизованного водоснабжения населения

4.1. По своему составу и свойствам вода нецентрализованного водоснабжения должна соответствовать нормативам, приведенным в таблице

Показатели

Единицы измерения

Норматив

1

2

3

Запах

Баллы

не более 2-3

Привкус

Баллы

не более 2-3

Цветность

Градусы

не более 2-3

Мутность

единицы мутности

по формалину (ЕМФ)

в пределах 2,6-3,5

в пределах 1,5-2,0

Водородный

показатель

единицы PH

в пределах 6-9

Жесткость общая

мг-экв/л

в пределах 7-10

Нитраты

мг/л

не более 45

Сухой остаток

мг/л

в пределах 1000-1500

Окисляемость перманганатная

мг/л

в пределах 5-7

Сульфаты

мг/л

не более 500

Хлориды

мг/л

не более 350

Химические

вещества

мг/л

Не выше ПДК

Колиформные бактерии*

Число бактерий в 100 мл

Отсутствие

Общее микробное число

Число колоний в 1 мл

100

Термотолерантные колиформные бактерин

Число бактерий в 100 мл

Отсутствие

Колифаги

Число

блящкообразующих единиц в 100 мл

Отсутствие

* -при отсутствии общих колиформных бактерий проводится определение глюкозоположительных колиформных бактерий (БГКП) с постановкой оксидазного теста.

4.2. В зависимости от местных природных и санитарных условий, а также эпидемической обстановки в населенном месте, перечень контролируемых показателей качество воды, приведенный в п.4.1., может быть расширен по постановлению Главного государственного санитарного врача по соответствующей территории с включением дополнительных микробиологических и химических показателей.

На территориях, официально признанных зонами радиационного загрязнения, качество воды в источниках нецентрализованного водоснабжения по показателям радиационной безопасности оценивается в соответствии с действующими на территории Республики Узбекистан санитарными правилами и нормами.

5. Требования содержанию и эксплуатации водозаборных сооружений нецентрализованного водоснабжения

5.1. Правильное содержание и эксплуатация водозаборных сооружений и устройств имеет решающее значение в профилактике микробного и химического загрязнения питьевой воды.

5.2. В радиусе ближе 20 м от колодца (каптажа) не допускается мытье автомашин, водопой животных, стирка белья, а также осуществление других видов деятельности, способствующих загрязнению воды. Не разрешается забор воды из колодца (каптажа), родника ведрами, приносимыми населением, а также вычерпывание воды из общественной бадьи приносимыми из дома ковшами.

5.3. Чистка колодцев (каптажа) должна производиться пользователями по первому требованию территориальных Центров ГСЭН, но не реже 1 раза в год с одновременным текущим ремонтом оборудования и крепления. После каждой чистке и ремонта должна производиться дезинфекция водозаборных сооружений хлорсодержащими реагентами и последующая их промывка. При этом, чистка, дезинфекция и промывка водозаборных сооружений и устройств производится за счет средств органов местного самоуправления, коллективных и индивидуальных водопользователей.

6. Контроль за качеством воды нецентрализованного водоснабжения

6.1. Контроль за качеством воды должен соответствовать местной санитарно-эпидемиологическом обстановке и быть тесно связан с проводимыми в населенном пункте санитарными мероприятиями. Он должен включать систематическое санитарное обследование не только источников водоснабжения, оборудования и устройств, но и территории, прилегающей к водозаборным сооружениям. При этом, территориальные Центры ГСЭН осуществляют плановый или выборочный контроль за качеством воды скважин, колодцев и каптажей общего пользования, а также контроль по разовым заявкам от индивидуальных пользователей.

6.2. Если при контроле качества воды в источниках нецентрали-зованного водоснабжения отмечено превышение микробиологических или химических показателей по сравнению с нормативами, приведенными в таблице п.4.1., следует выполнить дополнительные исследования при повторном отборе проб по тем показателям, которые не соответствовали нормам. Стойкое ухудшение качества воды по микробиологическим или химическим показателям в ряде повторно отобранных проб требует установления его причины и её устранения.

6.3. Мероприятия по устранению причин ухудшения качества обычно выключают в себя чистку, промывку и при необходимости профилактическую дезинфекцию с последующим составлением акта. При необходимости (стойкое ухудшение качества воды) может понадобиться постоянное обеззараживания воды в колодце (каптаже) хлорсодержащими препаратами (приложение 1).

6.4. При неблагоприятной эпидемической обстановке в населенном месте, изменениях дебита воды, ухудшении её качества воды в колодце (каптаже) должна подвергаться обеззараживанию постоянно или на определенный, согласованный с санитарной службой, срок.

Контроль за эффективностью обеззараживания воды в колодце (каптаже) проводится территориальным Центром ГСЭН в установленные им сроки.

Приложение 1

Требования к проведению дезинфекции шахтных колодцев и обеззараживания воды в них

1. Дезинфекции шахтных колодцев.

Необходимость дезинфекции колодцев устанавливается Центрами ГСЭН и осуществляется: по эпидеимологическим показателям (при вспышке кишечных инфекций в населенном пункте или попадании в воду колодцев сточных вод, фекалий, трупов животных и т.д.) или с профилактической целью (по окончании строительства новых и после чистка и ремонта соществующих колодцев).

Для дезинфекции колодцев можно использовать любые дезинфик препараты, разрешенные к применению Минздравом Республике Узбекистан (чаше всего для этих целей используют хлорсодержащие препараты – хлорную известь или соли гипохлорита кальция.)

Дезинфекция колодцев по эпидемическим показателям включает предварительную дезинфекцию колодца, очистку колодца и повторную дезинфекцию колодца.

Перед предварительной дезинфекцием колодца расчетным методом определяют объем воды и нем (м3) путем умножения плошади счения колодца (в м 3) на высоту водяного столба (в м). Затем проводят орошение из гидропульта наружной и внутренной части ствола шахта 5%-ным раствором хлорном извести или 3%-ным раствором соли гипохлорита кальция –ДТСГК из расчета 0,5 л на 1м2 поверхности.

Определив объем воды в колодце, проводят дезинфекцию нижней (водной) части его путем внесения хлорсодержащих препаратов из расчета 100-150 мг (г) активного хлора на 1 л (м3) воды в колодце. Воду тщательно перемешивают, колодец закрывают крышкой на 1,5-2 часа, не допуская забора воды из него.

Расчет количества хлорной извести или ДТСГК, необходимого в колодце заданной дозы активного хлора(100-150 мг (г) на1 л (м3), проводят по формуле:

0182 1.png ,где

Р- количество хлорной извести или ДТСГК, в г;

С- заданная доза активного хлора в вода колодца в мг/ л (г/м3);

Е- объем воды в колодце в м3;

Н-содержания активного хлора в препарате в %

100- числовой коэффициент.

После предварительной дезинфекции колодца проводится его очистка (через 1,5-2 часа после дезинфекции). При этом, колодец полностью освобождается от воды, очищается от попавших в него посторонних предметов и накопившегося ила. Стенки шахты очищаются механическим путем от обрастаний и загрязнений, в случае необходимости их ремонтируют. Затем наружную и внутреннюю часть шахты орошают из гидропульта 5% л /м3 шахты.

После очистки, ремонта и дезинфекции стенок шахты приступают к повторной дезинфекции колодца. При этом, необходимо выдержать определенное время, чтобы колодец вновь заполнился водой, после чего по вышеуказанной схеме проводят внесение дезинфицирующего раствора. Воду в колодце перемешивают в течение 10 минут, колодец закрывают крышкой и оставляют на 6 часов, не допуская забора воды из него.

По истечении указанного срока наличие остаточного хлора в воде определяют качественного – по запаху или с помощью йодометрического метода. При отсутствии остаточного хлора в воде добавляют 0,25-0,3 первоначального количества дезинфицирующего раствора и выдерживают еще 3-4 часа. После повторной проверки на наличие остаточного хлора и её положительного результата проводят откачку воды до исчезновения резкого запаха хлора. После этого воду можно использовать для питьевых и хоз-бытовых целей.

При дезинфекции колодцев с профилактической целью предварительную дезинфекцию не проводят. Очистку и ремонт колодца, а также дезинфекцию стенок вновь построенного колодца завершают дезинфекцией колодца вышеописанным объемным методом.

2.Обеззараживание воды в колодцах.

Необходимость обеззараживания воды в колодце устанавливается Центром ГСЭН для предупреждения распространения среди населения инфекций через колодезную воду. Оно может проводиться как временное профилактическое мероприятие в очагах кишечных инфекций, а также в случаях, когда вода колодцев не отвечает требованиям к качеству воды нецентрализованного водоснабжения по микробиологическим показателям.

Обеззараживание воды в колодце проводится после дезинфекции самого колодца с помощью различных приемов и методов, но чаще всего с помощью дозирующего патрона, заполненного, как правило, хлорсодержащими препаратами. При этом, величина остаточного (активного) хлора должна поддерживаться на уровне 0,5 мг /л.

Для расчета количества дезинфицирующего препарата в дозирующем патроне (А) определяют следующие параметры:

A1 - объем воды в колодце, м3;

A2 – дебет колодца, м3/ час;

A3 – величину водозабора м3/ сутки (определяют путем опроса);

Расчет проводят по формуле:

А=0,07А1+0,08 А2+0,02 А3+0,14 А4

Следует учитывать, что данная формула дана для расчета ДТСГК, содержащего 52% активного хлора, при температуре воды 17-180С. Для хлорной извести, содержащей 25% активного хлора, расчетное количество препарата увеличивается в 2 раза. Если содержание активного хлора в ДТСГК или хлорной извести другое- делают пересчет. При температуре воды 4-60 С (в зимнее время) количество препарата после расчета увеличивают в 2 раза.

По расчетному количеству препарата подбирают подходящий по емкости патрон (или несколько патронов меньшей емкости), заполняют его препаратом, добавляют воды при перемешивании до образования равномерной кашицы, закрывают пробкой и погружают в воду колодца на расстоянии от 20 до 50 см от дна в зависимости от высоты водяного столба, а свободный конец веревки закрепляют на оголовке шахты.

Эффективность обеззараживания воды в колодце устанавливают путем определения величины остаточного хлора (0,5 мг /л) и общих колиформных бактерий. Частота повторных определений не должна быть реже 1 раза в неделю.

При уменьшении величины остаточного хлора или его исчезновении (примерно через 30 суток), патрон извлекают из колодца, освобождают от содержимого, промывают и вновь заполняют дезинфицирующим препаратов.

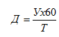
Для определения дебита колодца измеряют объем воды в колодце, быстро откачивают воду в течение определенного времени (3-10 минут) и отмечают время, в течение которого восстановился уровень воды в колодце. Затем расчет проводится по формуле:

0182 2.png где,

Д-дебет колодца, л/ час;

У – объем воды в колодце до откачки, л

Т – время в мин., за которое установился уровень воды плюс время, в течение которого откачивали воду;

60 – числовой коэффициент.

Для определения хлор-поглощаемости воды колодца в сосуд отбирают 1 л колодезной воды, прибавляют 1%-ный раствор хлорной извести или ДТСГК из расчета 2 мг /л активного хлора (при прозрачной воде) или 3-5 мг /л (при мутной воде). Содержимое сосуда хорошо перемешивают, закрывают пробкой, оставляют на 30 минут и определяют величину остаточного хлора в воде.

Хлор-поглощаемость воды вычисляют путем определения разницы между количеством внесенного в сосуд активного хлора в количеством его в воде после 30- минутного контакта.

Примечание: при составлении данного документа использованы материалы, приведенные в санитарно – эпидемиологических правилах и нормативах РФ 2.1.4.1175-02.


Номер документа:  № 0182-05
Дата принятия:  10.01.2005

Последние события

Реклама

Реклама на сайте

Rambler's Top100         MedLinks - Вся медицина в Интернет                 Яндекс.Метрика
Сертифицированный партнёр 1с-Битрикс

Copyright © WWW.MED.UZ - Медицинский портал Узбекистана, 2005-2026 
Все права защищены. Вся информация, размещённая на данном веб-сайте, предназначена только для
персонального использования и не подлежит дальнейшему воспроизведению и/или распространению
в какой-либо форме, иначе как с письменного разрешения компании MedNetSoft

Контакты:
Tel.: +998 (71) 200-92-22
Fax.: +998 (71) 200-92-22
e-mail:
info@mednetsoft.uz