| «УТВЕРЖДАЮ»
Главный Государственный
санитарный врач
Республики Узбекистан
_______ Б.И.НИЯЗМАТОВ
15 октября 2004 г. |
Разработчики:
- Центр нормирования и охраны труда Министерства труда и социальной защиты населения РУз (зав. лабораторией промышленной акустики, к.т.н. Мучкаев А.А.; ведущий научный сотрудник, к.м.н. Феофанов В.Н.)
- Научно-исследовательский институт санитарии гигиены и профзаболеваний Министерства здравоохранения РУз (зав. лабораторией физических факторов, к.м.н. Магай М.П.).
1. ВВЕДЕНИЕ
Класс условий труда по степени вредности и опасности воздействия шума и вибрации устанавливается санитарными нормами СанПиН РУз №0141-03 «Гигиеническая классификация условий труда по показателям вредности и опасности факторов производственной среды, тяжести и напряженности трудового процесса» по показателю превышения шумовой и вибрационной нагрузки.
Показателем превышения вибрационной и шумовой нагрузки является разность логарифмических уровней или отношение абсолютных значений спектральных или корректированных по частоте параметров шума и вибрации в конкретных производственных условиях и допустимых значений, установленных санитарными нормами для этих условий при длительности воздействия 8 часов (в течение полной рабочей смены). Допустимые уровни шума по видам трудовой деятельности и рабочим местам, требования к методике измерений уровней шума и к обработке результатов приведены в ГОСТ 12.1.003-83 «Шум. Общие требования безопасности», и СанПиН РУз № 0120-01 «Санитарные нормы допустимых уровней шума на рабочих местах».
Нормы вибрационной нагрузки по видам и категориям, требования к методике измерений параметров вибрации и к обработке результатов приведены в ГОСТ 12.1.012-90 «Вибрационная безопасность. Общие требования» и в СанПиН РУз № 0122-01 «Санитарные нормы общей и локальной вибрации на рабочих местах».
По значениям допустимых уровней шума и параметрам вибрации стандарты и санитарные нормы практически идентичны.
Принципиальным недостатком этих нормативных документов является отсутствие в основном тексте требований к учету времени воздействия шума и вибрации при определении значения допустимого уровня. Кроме этого отсутствуют указания по определению фактического значения допустимых уровней шума и вибрации при изменении в течение рабочей смены вида трудовой деятельности или рабочего места, вида и категории воздействующей вибрации.
В целом эти недостатки нормативных документов приводят к неверному определению показателей превышения шумовой и вибрационной нагрузки и, следовательно, оценке шумо- и вибробезопасности условий труда.
Целью настоящего нормативного документа является подробное изложение методики определения показателя превышения шумовой и вибрационной нагрузок с учетом конкретных производственных условий на рабочих местах. Cанитарные правила содержат:
1) методику установления фактических значений допустимых уровней шума и вибрации по фактическому времени их воздействия в течение рабочей смены;
2) методику установления общего (эквивалентного) значения допустимого уровня шума при изменении в течение рабочей смены вида трудовой деятельности или рабочего места и вибрации при изменении её вида и категории;
3) порядок определения показателя превышения шумовой и вибрационной нагрузки;
4) порядок и форму представления результатов оценки шумо- и вибро-безопасности условий труда.
Все излагаемые в настоящем документе требования и методики разработаны на основе действующих нормативных документов и не противоречат им.
2. НАЗНАЧЕНИЕ И ОБЛАСТЬ ПРИМЕНЕНИЯ
Настоящие санитарные правила определяют методику и порядок установления показателя превышения шумовой и вибрационной нагрузок при проведении аттестации рабочих мест на шумо- и вибробезопасность условий труда. Кроме того, результаты, полученные на их основе, могут быть использованы при выборе средств защиты, разработке мероприятий по борьбе с шумом и вибрацией, выборе оптимальных режимов труда.
3. ОПРЕДЕЛЕНИЕ И ОЦЕНКА ШУМОБЕЗОПАСНОСТИ УСЛОВИЙ ТРУДА НА РАБОЧИХ МЕСТАХ
3.1. Шумобезопасность условий труда на рабочем месте должна оцениваться по показателю превышения шумовой нагрузки - разности логарифмических уровней звука в дБА, воздействующего на работающего в конкретных производственых условиях и допустимого значения уровня звука, установленного санитарными нормами для этих условий с учетом времени воздействия шума, смены вида трудовой деятельности или рабочего места в течение рабочей смены.
3.2. Исходными данными для определения показателя превышения шумовой нагрузки являются:
- результаты измерений и определений средних или эквивалентных уровней звука в дБА на рабочем месте, включая уровни звука фонового шума;
- время воздействия каждого уровня звука на рабочем месте и время воздействия фонового уровня звука;
- время выполнения каждого вида трудовой деятельности или пребывания в течение рабочей смены на рабочих местах с разными допустимыми уровнями звука;
- нормативные значения допустимых уровней звука на каждый вид трудовой деятельности или рабочее место для продолжительности воздействия 8 часов.
3.3. По исходным данным должны рассчитываться:
- эквивалентный уровень звука воздействующего шума за рабочую смену;
- фактическое эквивалентное значение допустимого уровня звука по времени воздействия шума, с учетом видов трудовой деятельности и смены рабочего места.
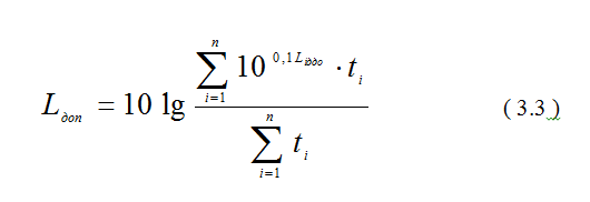
3.4. Эквивалентный уровень звука, воздействующего в течение рабочей смены, определяется по формуле

где: Li - средний или эквивалентный уровень звука, воздействующий в течение ti времени, дБА;
ti - суммарное время воздействия уровня звука Li , мин;
- продолжительность рабочей смены, мин.
3.5. Фактический (эквивалентный) допустимый уровень звука с учетом времени воздействия шума и изменений в течение рабочей смены вида трудовой деятельности или рабочего места определяется по формулам:
- на постоянном рабочем месте (рабочей зоне) без изменения вида трудовой деятельности и уровне звука, превышающем уровень фона на 10 дБА и более:
- допустимый нормативный уровень звука на рабочем месте для времени воздействия 480 мин., дБА;
- поправка дБА к нормативному уровню звука по суммарному времени воздействия, определяемая по таблице 1, Приложение 1.
- при смене рабочего места или вида трудовой деятельности с различными значениями допустимых уровней звука:

где:
- допустимый уровень звука на i - том рабочем месте для времени воздействия 480 мин., дБА;
ti - суммарное время пребывания на i -том рабочем месте за рабочую смену, мин;
- продолжительность рабочей смены, мин.
3.6. Показатель превышения шумовой нагрузки определяется по формуле
где:
- эквивалентный уровень звука, определяемый по п.3.4, дБА;
- фактический допустимый уровень звука, определяемый по п.3.5.
3.7. Результаты измерений уровней звука на рабочих местах, включая уровень фона, должны оформляться протоколом по приложению 2.
3.8. Результаты расчетов эквивалентного уровня звука, фактического допустимого уровня за рабочую смену и определения показателя превышения шумовой нагрузки должны представляться в таблице по форме 2 приложения 2.
3.9. При использовании работающими серийных средств индивидуальной защиты органов слуха (противошумные вкладыши, наушники или шлемы) показатель превышения шумовой нагрузки уменьшается на величину эффективности средства защиты. Пример определения показателя превышения шумовой нагрузки приведен в приложении 4.
4. ОПРЕДЕЛЕНИЕ И ОЦЕНКА ВИБРОБЕЗОПАСНОСТИ УСЛОВИЙ ТРУДА НА РАБОЧИХ МЕСТАХ
4.1. Вибробезопасность условий труда на рабочем месте должна оцениваться по показателю превышения вибрационной нагрузки- разности логарифмических уровней виброскорости (виброускорения) в октавных полосах спектра вибрации и соответствующих допустимых уровней виброскорости, установленных санитарными нормами по видам и категориям вибрации с учетом времени воздействия и смены вида и категории в течение рабочей смены.
Допускается оценка вибробезопасности условий труда по разности корректированного по частоте (эквивалентно корректированного) логарифмического уровня виброскорости (виброускорения) и соответствующего значения допустимого корректированного по частоте уровня с учетом времени воздействия и смены вида и категории вибрации.
Допустимый корректированный по частоте (эквивалентно корректированный) уровень виброскорости (виброускорения) должен рассчитываться по весовым коэффициентам и методике, приведенным в ГОСТ 12.1.012-90 (пункт 2.4.1, таблица 4 приложения 4).
Допустимые значения корректированного по частоте уровня виброскорости (виброускорения), рассчитанные по методике стандарта для 8-ми часового воздействия вибрации приведены в таблице 2, приложения 1.
4.2. Исходными данными для определения показателя превышения вибрационной нагрузки являются:
- результаты измерений и определений средних или эквивалентных уровней виброскорости (виброускорения) в нормируемых октавных полосах частот спектра вибрации;
- результаты расчета корректированного по частоте (эквивалентно корректированного) значения уровня виброскорости (виброускорения);
- время воздействия каждого вида и категории вибрации в течение рабочей смены;
- нормативные значения допустимых октавных или корректированных по частоте уровней виброскорости (виброускорения) по виду и категориям вибрации при продолжительности воздействия 8 часов.
4.3. По исходным данным должны рассчитываться:
- эквивалентный октавный или эквивалентный корректированный уровень виброскорости (виброускорения) по вертикальной и горизонтальным составляющим вибрации за рабочую смену;
- фактическое эквивалентное значение допустимого октавного или корректированного по частоте уровня виброскорости (виброускорения) по времени воздействия вибрации с учетом изменения её в течение рабочей смены.
4.4. При определении показателя превышения вибрационной нагрузки по октавным уровням виброскорости (виброускорения) должен использоваться октавный уровень с максимальным превышением допустимого октавного уровня по вертикальной или горизонтальной вибрации. Если в течение рабочей смены меняется категория воздействующей вибрации, то в каждой категории определяется октавная полоса, в которой имеет место максимальное превышение допустимого уровня вертикальной и горизонтальной составляющих вибрации.
4.5. При определении показателя превышения вибрационной нагрузки по корректированному по частоте уровню виброскорости (виброускорения) используются:
а) при воздействии вибрации одной категории-эквивалентные корректированные по частоте уровни для вертикальной и горизонтальных составляющих вибрации;
б) при изменении в течение рабочей смены категорий воздействующей вибрации общий эквивалентный корректированный по частоте уровень для вертикальной и горизонтальных составляющих вибрации.
4.6. Фактическое значение допустимого октавного уровня виброскорости (виброускорения) с учетом времени воздействия вибрации одной категории следует определять по формуле
где:
- допустимый октавный уровень виброскорости (виброускорения) в выбранной октавной полосе и составляющей вибрации для 8-ми часового воздействия, дБ;
- поправка на фактическое время воздействия вибрации, определяемая по таблице 1 приложения 1.
4.7. Фактическое значение допустимого октавного уровня виброскорости (виброускорения) с учетом времени воздействия вибрации разных категорий следует определять по формуле
где:
- допустимый октавный уровень составляющей вибрации категории i для 8-ми часового воздействия,дБ;
ti - время воздействия вибрации категории i (мин);
- то же для вибрации категории j ;
- продолжительность рабочей смены, мин.
4.8. Фактическое значение допустимого корректированного по частоте уровня виброскорости (виброускорения) следует определять по формуле 4.2.
где:
- значение допустимого корректированного по частоте уровня вибрации категории i для 8-ми часового воздействия;
ti - время воздействия вибрации категории i ;
- то же для вибрации категории j .
Допустимые значения корректированных по частоте уровней виброскорости (виброускорения) приведены в таблице 2 приложения 1.
4.9. Фактическое значение вибрационной нагрузки в октавных уровнях виброскорости (виброускорения) следует определять по формуле:
а) при воздействии постоянной вибрации одной категории
где: Li - результаты измерений уровней вибрации, дБ;
n - число измерений уровней.
б) при воздействии постоянной вибрации одной категории

где: Li - уровень вибрации, действующей за время ti , дБ;
ti - время действия вибрации Li -уровня (мин).
в) при воздействии вибрации разных категорий

где: Li - октавный уровень вертикальной или горизонтальной составляющей вибрации категории i , дБ;
ti - время действия вибрации категории i , мин;
Lj - октавный уровень вертикальной или горизонтальной составляющих вибрации категории j в направлениях, соответствующих вибрации категори j , дБ;
tj - время действия вибрации категории j .
4.10. Фактическое значение вибрационной нагрузки в корректированных по частоте уровнях виброскорости (виброускорения) определяется по формуле 4.5,
где: Li - корректированный по частоте уровень вибрации категории i , дБ;
ti - время воздействия вибрации категории i , мин;
Lj, tj - то же для вибрации категории j .
4.11. Показатель превышения вибрационной нагрузки определяется во всех случаях для вертикальной и горизонтальной составляющих вибрации по формуле

4.12. За показатель превышения вибрационной нагрузки принимается максимальное значение, определенное по формуле 4.6.
4.13. В документации по аттестации рабочих мест на вибробезопасность условий труда результаты определения показателя превышения вибрационной нагрузки следует представлять в виде протокола по форме приложения 3.
5. ПРИЛОЖЕНИЯ
Приложение 1
обязательное
Таблица 1
Поправки к допустимым уровням шума и вибрации для интервалов времени воздействия
|
Интервалы времени
воздействия (мин)
|
Поправка
к ДУ, дБ
|
Интервалы времени
воздействия (мин)
|
Поправка
к ДУ, дБ
|
|
до 30
|
+12
|
360-420
|
+1
|
|
30-60
|
10
|
420-480
|
-1
|
|
60-120
|
8
|
480-540
|
0
|
|
120-180
|
5
|
540-600
|
-2
|
|
240-300
|
2,5
|
600-660
|
-3
|
|
300-360
|
1,5
|
660-720
|
-4
|
Таблица 2
Нормы вибрационной нагрузки в корректированных по
частоте уровнях для 8-ми часового воздействия вибрации
|
Вид
вибрации
|
Категория
вибрации
|
Направление
действия
|
Нормативные, корректированные по частоте эквивалентные
корректированные значения, дБ
|
|
Виброускорения
|
Виброскорости
|
|
Локальная
|
-
|
Х, У, Z
|
132
|
118
|
|
Общая
|
1
|
Z
|
123
|
115
|
| |
Х, У
|
120
|
124
|
|
2
|
Z
|
117
|
109
|
| |
Х, У
|
113
|
117
|
|
3 тип “а”
|
Z
|
108
|
100
|
| |
Х,У
|
104
|
108
|
|
3 тип “в”
|
Z
|
91
|
92
|
| |
Х, У
|
87
|
100
|
Примечание: Нормативные значения получены расчетом по п.2.4.1
ГОСТ 12.1.012-90, данным таблицы 4 приложения 4 и таблиц 8-11 приложения 5 для октавных полос спектра вибрации.
Приложение 2
рекомендуемое
Протокол
измерений уровня шума на рабочем месте
1. Название предприятия, цеха, участка______________________________
______________________________________________________________
2. Профессия_____________________________________________________
3. Место проведения измерений (рабочее место)_______________________
______________________________________________________________
4. Средства измерений и аппаратура________________________________
_______________________________________________________________
5. Сведения о государственной поверке_____________________________
______________________________________________________________
(дата, номер свидетельства)
6. Нормативно-техническая документация, в соответствии с которой
проведены измерения____________________________________________
________________________________________________________________
7. Организация, проводившая измерения_____________________________
_______________________________________________________________
8. Должность, Ф.И.О. ответственного за проведение измерений или
проводившего измерения_________________________________________
_______________________________________________________________
9. Результаты измерений и расчета по формам 1, 2.
Форма 1
Результаты измерений уровня звука
|
№
п/п
|
Профессия
|
Место
измерения
|
Уровень
звука, дБА
|
Время
воздействия
звука, мин
|
Эквива-лентный
уровень
звука, дБА
|
Допустимый
уровень по
ГОСТ
12.1.003-83,
дБА
|
|
1
|
2
|
3
|
4
|
5
|
6
|
7
|
Форма 2
Результаты определения показателя превышения шумовой нагрузки
|
Профессия
|
Рабочие
места
|
Эквива-лентный
уровень
звука за
рабочую
смену,
дБА
|
Допусти-мый уро-вень звука поГОСТ
12.1.003-83,
дБА
|
Допусти-мый уровень звука по времени воздейст-
вия,
дБА
|
Показа-тель пре-вышения
шумовой
нагрузки,
дБА
|
Класс
условий
труда по
СанПиН
№0049-96
|
|
1
|
2
|
3
|
4
|
5
|
6
|
7
|
Приложение3
рекомендуемое
Протокол
определения показателя превышения вибрационной
нагрузки на рабочих местах
1. Название предприятия, цеха, участка__________________________________
__________________________________________________________________
2. Професия_________________________________________________________
3. Вид и категория воздействующей вибрации:
вид_____________________________________________________________
категория_________________________________________________________
4. Время воздействия вибрации каждой категории (мин)____________________
__________________________________________________________________
5. Среднегеометрические частоты октавных полос, Гц с максимальным
превышением допустимых уровней, дБ
вертикальной_____________________________________________________
горизонтальной___________________________________________________
6. Расчетные значения фактических уровней действующей вибрации, дБ
вертикальной_____________________________________________________
горизонтальной___________
7. Расчетные значения фактического корректированного по частоте уровня
воздействующей вибрации, дБ
вертикальной_____________________________________________________
горизонтальной___________________________________________________
8. Расчетные значения фактических допустимых уровней:
вертикальной вибрации, дБ__________________________________________
в полосе со среднегеометрической частотой, Гц_________________________
горизонтальной вибрации___________________________________________
в полосе со среднегеометрической частотой, Гц________________________
корректированного по частоте
вертикальной вибрации____________________________________________
горизонтальной вибрации_________________________________________
9. Максимальные значения превышения вибрационной нагрузки в октавных уровнях виброскорости (виброускорения):
составляющая вибрации___________________________________________
среднегеометрическая частота октавной полосы, Гц_____________________
__________________________________________________________________
показатель превышения нагрузки, дБ__________________________________
10. Максимальное значение превышения вибрационной нагрузки корректированного по частоте уровня виброскорости (виброускорения):
составляющая вибрации__________________________________________
показатель превышения нагрузки, дБ_________________________________
11. Организация, проводившая измерения и определения_________________
______________________________________________________________
12. Ф.И.О. , должность ответственного за проведение измерений и расчетов
_______________________________________________________________
13. Дата проведения измерений и определения показателя превышения вибрационной нагрузки___________________________________________
__________________________________________________________________
Приложение 4
Примеры определений превышений шумовой (пример 1) и
вибрационной (пример 2) нагрузок.
Пример 1. Машинист компрессорных установок имеет два рабочих места: в машинном зале и в операторской у пульта контроля и управления. Средний уровень звука в рабочей зоне равен 92 дБА. Уровень звука в операторской - 75 дБА. Определить показатель превышения шумовой нагрузки, если суммарное время нахождения в машинном зале составляет 2 часа (120 мин), а в операторской - 6 часов (360 мин). Продолжительность рабочей смены - 8 часов (480 мин).
1. По данным измерений проводится расчет эквивалентного уровня звука за рабочую смену по формуле
2. Проводится расчет фактического допустимого уровня звука за рабочую смену по нормам ГОСТ 12.1.003-83: 80 дБА - для машинного зала и 75 дБА - для операторской по формуле
3. Определяется показатель превышения шумовой нагрузки
Результаты вносятся в таблицу формы 2 приложения 2.
|
Профессия
|
Рабочие
места
|
Эквива-лентный
уровень
звука за
рабочую
смену,
дБА
|
Допусти-мый уровень звука поГОСТ
12.1.003-83,
дБА
|
Допусти-мый уровень звука по времени воздейст-вия,
дБА
|
Показа-тель пре-вышения
шумовой
нагрузки,
дБА
|
Класс
условий
труда по
СанПиН
№0049-96
|
|
Машинист компрес-сорных установок
|
Машин-ный зал
|
86
|
80
|
77
|
9
|
3.1
|
|
Опера-торская
| |
75
| | | |
Пример 2. Определить показатель превышения вибрационной нагрузки на рабочем месте крановщика мостового крана цеха № 2 ГМЗ-2 Навоийского ГМК при воздействии двух категорий общей вибрации: при движении крана - категория 2; при работе механизмов стоящего крана - категория 3 “а”. Суммарное время воздействия категории 2-120 мин; категории 3 “а” - 360 мин.
Результаты измерений уровней виброскорости
|
Категория
вибрации
|
Направление
вибрации
|
Среднегеометрические частоты
октавных полос, Гц
|
Корректи-рованный по частоте
уровень, дБ
|
|
2
|
4
|
8
|
16
|
31,5
|
63
|
|
1
|
2
|
3
|
4
|
5
|
6
|
7
|
8
|
9
|
|
3 “а”
|
Z
|
75
|
81
|
76
|
67
|
80
|
69
|
82
|
|
Х
|
88
|
87
|
97
|
85
|
96
|
87
|
100
|
|
У
|
86
|
86
|
85
|
83
|
85
|
86
|
93
|
| |
ДУ по ГОСТ 12.1.012-90
| |
| |
108
|
99
|
93
|
92
|
92
|
92
|
Z -100
|
| | | | | | | |
Х.У -108
|
| | |
Превышения ДУ
| |
| |
-
|
-
|
4
|
-
|
4
|
-
| |
Продолжение: результаты измерений уровней виброскорости.
|
1
|
2
|
3
|
4
|
5
|
6
|
7
|
8
|
9
|
|
2
|
Z
|
94
|
97
|
80
|
87
|
90
|
83
|
94
|
|
Х
|
101
|
113
|
110
|
94
|
99
|
90
|
115
|
|
У
|
92
|
102
|
95
|
97
|
91
|
86
|
104
|
| |
ДУ по ГОСТ 12.1.012-90
| |
| |
117
|
108
|
102
|
101
|
101
|
101
|
Z -109
|
| | | | | | | |
Х, У - 117
|
| |
Превышения ДУ
| |
| |
-
|
5
|
8
|
-
|
-
|
-
| |
По данным измерений уровней виброскорости показатели превышения вибрационной нагрузки на рабочих местах следующие:
1. Максимальное превышение составляет 8 дБ в октавной полосе с частотой 8 Гц для категории 2 и 4 дБ для категории 3 “а” по горизонтальной составляющей вибрации.
2. Фактический допустимый уровень виброскорости с учетом категорий воздействующей вибрации для горизонтальной составляющей в октавной полосе с частотой 8 Гц равен
где:
- допустимый октавный уровень виброскорости вибрации
категории 2, дБ;
- то же для категории 3, дБ;
- время воздействия вибрации категории 2 и 3 соответственно, мин.
3. Фактическая нагрузка по уровню виброскорости, определяется аналогично, но вместо
подставляются результаты измерений
4. Показатель превышения (максимальный) вибрационной нагрузки
5. По корректированному по частоте уровню виброскорости превышения не имеется.