Составители:
Т.И.ИСКАНДАРОВ - Директор НИИ СГПЗ МЗ РУз, академик АН РУз
М.МАГАЙ - Зав. лабораторией физических факторов, к.м.н.
Г.А.ТАШПУЛАТОВА - Ст. научный сотрудник, к.м.н.
Рецензенты:
Д.А.ЗАРЕДИНОВ - Зав. кафедрой гигиены ТашИУВ, д.м.н., профессор
А.У.САДЫКОВ - Зав. лабораторией медико-биологических исследований в гигиене, д.м.н.
Утвержден на заседании Комитета по гигиенической регламентации потенциально неблагоприятных факторов окружающей человека среды при Минздраве Республики Узбекистан, протокол за № ……….от…………200… Проведена правовая экспертиза Министерством юстиции Республики Узбекистан письмом за № ………….. от ………….200……
Настоящие санитарные нормы и правила предназначены для врачей по гигиене труда Центров Государственного санитарно - эпидемического надзора МЗ РУз, инженерно-технических работников, занимающихся проектированием, эксплуатацией и обслуживанием установок, машин, устройств и т.д. потенциально являющихся источниками электромагнитных излучений радиочастотного диапазона.
Выписка из Законов Республики Узбекистан
1.Закон Республики Узбекистан «О Государственном санитарном надзоре»
№ 657 –ХХ11 от 3 июля 1992 г. - ст. 2; ст.4; ст.9; ст.10; 21; ст.29.
2. Закон Республики Узбекистан «Об охране здоровья граждан» № 265 – 1
от 29 августа 1996г. – ст.2, ст.3, ст.6, ст.13.
3. Закон Республики Узбекистан «Об охране атмосферного воздуха» № 353-1
от 27 декабря 1996г. – ст.3, ст. 4, ст.8, ст. 10, ст.12, ст.13, ст.16, ст.17, ст.24.
4. Трудовой кодекс Республики Узбекистан № 161 – 1 от 21 декабря 1995 г. –
ст.2, ст.16, ст.37, ст.211, ст.212, ст.213.
5. Закон Республики Узбекистан «Об охране труда» № 840 – ХХ11 от
6 мая 1993 г. – ст.1, ст. 2, ст.4, ст.8, ст.9, ст.13, ст.20, ст.22, ст.25.
1. ОБЩИЕ ПОЛОЖЕНИЯ
1.1. Санитарные нормы и правила направлены на практическую реализацию Закона «О Государственном санитарном надзоре Республики Узбекистан» № 657-ХII от 03.07.92 г. Санитарные нормы и правила являются обязательными для всех министерств, ведомств, организаций проектирующих, строящих и эксплуатирующих установки (неэкранированные высокочастотные блоки установок: генераторные шкафы; конденсаторы; высокочастотные трансформаторы; магнетроны; клистроны и т.д.), антенные системы радиолокационных станций (РЛС), радио- и телерадиостанций, в том числе систем мобильной радиосвязи, воздушные линии электропередач и др., а также Центров Госсанэпиднадзора, осуществляющих надзор за условиями труда работающих.
1.2. Требования настоящих норм и правил должны быть учтены в нормативно- технических документах, строительных нормах и правилах, технических условиях, инструкциях, методиках и т.п., регламентирующих конструктивные и эксплуатационные требования к установкам, машинам, потенциально опасным по напряженности ЭМП.
1.3. Срок введения в действие санитарных норм и правил устанавливается с момента их утверждения.
2. ПРЕДЕЛЬНО–ДОПУСТИМЫЕ УРОВНИ ЭЛЕКТРОМАГНИТНЫХ ПОЛЕЙ РАДИОЧАСТОТ.
2.1. Предельно-допустимые уровни ЭМП на рабочих местах в диапазоне частот от 60 КГц до 300 ГГц, нормируются:
- в диапазонах частот от 60 КГц - 300 МГц напряженностью электрической (Е) и магнитной составляющей (Н) поля;
- в диапазонах частот от 300 МГц до 300 ГГц поверхностной плотностью потока энергии (ППЭ и создаваемой им энергетической экспозицией (ЭЭ), представляющей суммарный поток энергии проходящей через единицу поверхности за время действия (Т) и выражающийся произведением ППЭ · Т .
2.2. Предельно-допустимые значения Е и Н в диапазоне частот 60 КГц – 300 ГГц на рабочих местах персонала следует определять исходя из допустимой энергетической нагрузки и времени воздействия по формулам (Табл.1):
Е пду =
Н пду =
ППЭ пду =
где: Епду и Нпду – предельно - допустимые уровни напряженности электрического, В/м, и магнитного, А/м, полей; Т - время воздействия, ч.
ЭЭ епду, ЭЭнпду, ЭЭппэпду – предельно- допустимые значения энергетической экспозиции в течение рабочего дня.
Таблица 1
Предельно-допустимые уровни (ПДУ) энергетических экспозиций (ЭЭ) за рабочий день
|
Параметр
|
ЭЭ пду и диапазоны частот, МГц
|
|
0,06-3
|
3,0 - 30
|
30,0 - 300
|
300,0 -300000
|
|
ЭЭ е (В/м2) · ч
|
20000
|
7000
|
800
|
-
|
|
ЭЭ н (А/м2) · ч
|
200
|
-
|
-
|
-
|
|
ЭЭ пду (мкВ/см2) · ч
|
-
|
-
|
-
|
200
|
При этом уровни напряженности и плотности потока энергии не должны превышать значений данных в таблице 2.
Таблица 2
Максимальные допустимые уровни напряженности и плотности потока энергии электромагнитных полей
|
Параметр
|
Максимальные допустимые уровни в диапазонах частот, МГц
|
|
0,06 - 3
|
3,0 - 30
|
30,0 - 300
|
300,0 -300000
|
|
Е, В/м
|
500
|
300
|
80
|
-
|
|
Н, А/м
|
50
|
-
|
-
|
-
|
|
ППЭ, мкВт/см2
|
-
|
-
|
-
|
1000
|
Примечание: Для локального облучения кистей рук, допускается до 5000 мкВт/см2.
Согласно формул и таблицы 1, напряженность ЭМП в диапазоне частот от 60 КГц до 300 МГц на рабочих местах персонала в течение рабочего дня не должна превышать следующих значений (ПДУ):
По электрической составляющей, В/м:
50 - для частот от 0,06 до 3 МГц;
30 - для частот от 3 МГц до 30 МГц;
10 - для частот от 30 МГц до 300 МГц
По магнитной составляющей, А/м:
5 – для частот 0,06 до 3 МГц
Для случаев облучения от вращающихся и сканирующих антенн с частотой вращения или сканирования не более 1 Гц и скважностью не менее 20 и локального облучения рук при работах с микрополосковыми устройствами ППЭпду рассчитывается по формуле:
ППЭ пду =
;
где: К – коэффициент снижения биологической активности
воздействия, равный соответственно 10 и 12,5.
3. ТРЕБОВАНИЯ К ПРОВЕДЕНИЮ ИЗМЕРЕНИЯ УРОВНЕЙ ЭЛЕКТРОМАГНИТНЫХ ПОЛЕЙ РАДИОЧАСТОТ И СРЕДСТВАМ ИЗМЕРЕНИЯ
3.1. При проведении измерений в производственных условиях и других помещениях, в каждой точке выбранной для контроля ЭМП, измерения должны производиться на 3-х высотах от пола помещения: 0,5м; 1м; 1,7м.
В случае если оператор работает постоянно в позе «сидя», измерения ЭМП проводятся на высотах от пола соответственно положения головы, груди, малого таза.
3.2. Уровни ЭМП на рабочих местах контролируются измерениями в диапазоне частот 60 КГц – 300 МГц напряженностью электрической и магнитной составляющих, в диапазоне частот 300 МГц – 3000 ГГц плотностью потока энергии ЭМП с учетом пребывания в зоне облучения.
3.3. Измерения ЭМП следует проводить не реже одного раза в год, а также в следующих случаях:
- при вводе в действие новых установок, машин, оборудования;
- при внесении изменений в конструкцию, размещение и режим работы действующих установок, машин, оборудования;
- после проведения ремонтных работ;
- при внесении изменений в средства защиты от воздействия ЭМП;
- при организации новых рабочих мест;
- при аттестации рабочих мест;
- сертификационных испытаниях продукции;
- при переоформлении (продлении) санитарно-эпидемиологического заключения объекта.
3.4. Измерения необходимо выполнять при наибольшей загруженности источника ЭМП. Допускается проведение измерений в антенных полях передающих радиотехнических объектов при неполной излучаемой мощности с последующим пересчетом результатов измерений на условия максимального излучения.
3.5. При нескольких рабочих режимах источника ЭМП, различающихся параметрами генерации, видов и расположением рабочих элементов или излучающих систем, измерения следует проводить в каждом режиме.
3.6. Плотность потока энергии излучения вращающихся и сканирующих антенн измеряется при остановленной антенне в направлении максимума излучения при всех значениях угла наклона.
Для открытой местности с однородным рельефом результаты, полученные при одном направлении излучения, распространяются на весь сектор, охватываемый антенной при ее движении в радиусе, на котором производились измерения.
При неоднородном рельефе, наличии зданий или других сооружений, измерения необходимо производить на каждом рабочем месте при направлении излучения в место измерений.
3.7. Измерения ЭМП на открытой территории с целью определения размеров санитарно-защитной зоны и зон ограничения застройки проводятся на высотах 3, 6, 9 м. и т.д., в зависимости от этажности застройки.
Оценка результатов измерений ЭМП производится на основании расчета энергетической экспозиции за рабочий день. При этом в диапазоне частот
30 КГц до 3 МГц, учитываются энергетические нагрузки, создаваемые как электрическим полем, так и магнитным полем. Уровни воздействия ЭМП на рабочих местах считаются соответствующими гигиеническим требованиям при условии:
где ЭЭе и ЭЭн – энергетические нагрузки, характеризующие воздействия электрического и магнитного полей.
3.8. Если работающий на протяжении рабочего дня подвергается воздействию ЭМП различной интенсивности, рассчитывается суммарная ЭЭ путем сложения ЭЭ за соответствующие периоды времени, которая вычисляется по следующей формуле:
ЭНсум = ППЭ1Т1 + ППЭ2Т2 + …..ППЭнТн,
где ППЭ1,ППЭ2,ППЭн - значения ППЭ, измеренные в отдельных участках;
Т1,Т2,Тн - время пребывания в них.
На практике возможны случаи одновременного или последовательного облучения работающих от источников, работающих в непрерывном режиме, и от антенн кругового обзора и сканирования, тогда суммарная ЭЭ рассчитывается по формуле:
ЭЭппэсум = ЭЭппэ1 + ЭЭппэ2,
где ЭЭппэсум, суммарная энергетическая нагрузка, которая не должна превышать 200мкВ/см2 · ч; ЭЭппэ1 – ЭЭ, создаваемая непрерывным излучением; ЭЭппэ2 – ЭЭ, создаваемая излучением вращающихся или сканирующих антенн, равная 0,1 ППЭ2 · Т2.
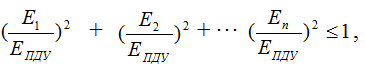
3.9. В диапазоне частот 60 КГц – 300 МГц в случае источников, работающих в частотных диапазонах для которых установлены единые значения ПДУ, суммарную интенсивность воздействия для электрической (Е) и магнитной (Н) составляющих ЭМП вычисляют по формулам:

В случае, если в диапазоне частот 60 КГц – 300 МГц источники работают в частотных диапазонах, для которых установлены разные значения ПДУ, должно обеспечиваться следующее условие:

где Е1, Е2, Ен - измеренные значения напряженности электрической составляющей поля;
Епду1, Епду2, Ен - предельно-допустимые уровни воздействия для соответствующего частотного диапазона;
В случае одновременного воздействия на персонал ЭМП с различными нормируемыми параметрами соответствие уровней облучения гигиеническим нормативам достигается при условии:
3.10. Контроль уровней ЭМП должен производиться приборами, имеющими
действующие свидетельства о Государственной поверке в Центре по обеспечению метрологических услуг агентства «Узстандарт» (с 2007 года - сертификат соответствия), в строгом соответствии с инструкцией по эксплуатации приборов.
По конструктивному решению различают приборы двух типов: приборы с антеннами, требующих учета поляризации поля или направленного действия (NFM – 1, ПЗ-9), и измерители с изотропными датчиками (ПЗ-15, ПЗ-16,
ПЗ-17, ПЗ-18, ПЗ-19, ПЗ-20, ПЗ-21, ПЗ- 22, ПЗ-23, ПЗ-25), производителями которых является Россия. Первые измеряют ЭМП преимущественно в ближней зоне излучения, вторые как в ближней, так и дальних зонах излучений.
Высокой точностью измерений обладают приборы (EFA -1, EFA – 2,
EFA- 3, EMR-11, EMR -200, EMR- 300), производства Германия, обеспечивающие измерения в большей части диапазона радиочастот – от 5 Гц до 18 ГГЦ.
4. ПРОФИЛАКТИКА НЕБЛАГОПРИЯТНОГО ВОЗДЕЙСТВИЯ ЭМП РАДИОЧАСТОТ
4.1. Защита персонала от неблагоприятного влияния ЭМП радиочастот обеспечивается организационными, инженерно-техническими и лечебно-профилактическими мероприятиями.
4.2. Организационные мероприятия включают в себя – выбор рациональных режимов работы, ограничение продолжительности пребывания в зоне воздействия ЭМП, соблюдение правил безопасной эксплуатации источников ЭМП.
4.3. Инженерно-технические мероприятия предусматривают применение коллективных и индивидуальных средств защиты от ЭМП (экранирование источников ЭМП или рабочего места), рациональное размещение источников ЭМП.
Приложение
(Рекомендуемое)
МИНИСТЕРСТВО ЗДРВООХРАНЕНИЯ РЕСПУБЛИКИ УЗБЕКИСТАН
Наименование учреждения ______________________________________
______________________________________________________________
(проводившее измерение)
ПРОТОКОЛ №_____
измерения ЭМП радиочастотного диапазона
от «_____»____________200__г.
1. Место проведения измерений _____________________________________
________________________________________________________________
(наименование объекта)
2. Измерения проводились в присутствии представителя обследуемого объекта ______________________________________________________________
(должность, фамилия, имя, отчество)
3. Причина проведения измерений ____________________________________
4. Средства измерений ______________________________________________
(наименование, тип)
5. Сведения о Государственной поверке _______________________________
________________________________________________________________
(дата и номер свидетельства, сертификата соответствия)
6. Нормативно-техническая документация, в соответствии с которым проводились измерения и давалось заключение ______________________________
________________________________________________________________
7. Основные источники ЭМП радиочастотного диапазона_________________
________________________________________________________________
_________________________________________________________________
8. Эскиз помещения (рабочего места, источника ЭМП), порядковые номера точек замеров.
9. ЗАКЛЮЧЕНИЕ:________________________________________________
_______________________________________________________________
_______________________________________________________________
_______________________________________________________________
Измерения производил: ________________________________