o`zb   рус   eng
Медицинский портал Узбекистана
 Победитель интернет фестиваля национального домена 2013
Главная Поиск Обратная связь Карта сайта Версия для печати rss

Подписка на рассылку

СанПиН №0326-16. Санитарные нормы общей и локальной вибрации на рабочих местах

01.03.2017

САНИТАРНЫЕ ПРАВИЛА, НОРМЫ И ГИГИЕНИЧЕСКИЕ НОРМАТИВЫ

РЕСПУБЛИКИ УЗБЕКИСТАН

«УТВЕРЖДАЮ»

Главный государственный

санитарный врач

Республики Узбекистан

_________________ С.С. САИДАЛИЕВ

« 1 » февраля 2016 г.

САНИТАРНЫЕ НОРМЫ ОБЩЕЙ И ЛОКАЛЬНОЙ

ВИБРАЦИИ НА РАБОЧИХ МЕСТАХ

СанПиН РУз № 0326-16

Издание официальное

Ташкент – 2016 г.

УЧРЕЖДЕНИЕ-РАЗРАБОТЧИК:

- Научно-исследовательский институт санитарии, гигиены и профзаболеваний МЗ РУз (НИИ СГПЗ МЗ РУз)

- Ташкентская медицинская академия (ТМА)

Составители:


- Искандаров Т.И.

- заведующий лабораторией, руководитель проекта НИИ СГПЗ МЗ РУз, д.м.н., профессор, академик АН РУз

- Магай М.П.

- заведующий лабораторией физических факторов НИИ СГПЗ МЗ РУз, к.м.н., с.н.с.

- Ташпулатова Г.А.

- старший научный сотрудник НИИ СГПЗ МЗ РУз, к.м.н.

- Искандарова Г.Т.

- заведующая кафедрой коммунальной гигиены и гигиены труда ТМА, д.м.н., профессор

- Адилов У.Х.

- старший научный сотрудник-соискатель НИИ СГПЗ МЗ РУз

РЕЦЕНЗЕНТЫ:


- Шеркузиева Г.Ф.

- доцент кафедры коммунальной гигиены и гигиены труда ТМА, к.м.н., доцент

- Туйчиев Ж.

- заведующий отделением гигиены труда Республиканской ЦГСЭН МЗ РУз

- Шамансурова Х.Ш.

- старший научный сотрудник НИИ СГПЗ МЗ РУз, к.м.н., с.н.с.

Обсужден и одобрен на заседании Ученого Совета НИИ санитарии, гигиены и профзаболеваний МЗ РУз

(протокол № 3 от « 24 » марта 2015 г.)

Обсужден и одобрен на заседании Комитета по гигиенической регламентации потенциально неблагоприятных факторов окружающей среды при МЗ РУз

(протокол № 2 от « 1 » июля 2015 г.)

Проведена правовая экспертиза Министерством юстиции Республики Узбекистан. Письмо № 6-21/33-10718/6 от « 21 » сентября 2015 г.

©- Научно-исследовательский институт санитарии, гигиены и профзаболеваний Министерства здравоохранения Республики Узбекистан.

Выписка

из Законов Республики Узбекистан

1. Закон Республики Узбекистан «О санитарно-эпидемиологическом благополучии населения» № 393 от 26 августа 2015 г. (статьи 18, 19, 20, 23, 28).

2. Закон Республики Узбекистан «Об охране здоровья граждан» № 265-1 от 29 августа 1996 г. (статьи 2, 3, 6, 13).

3. Закон Республики Узбекистан «Об охране атмосферного воздуха» № 353-1 от 27 декабря 1996 г. (статьи 3, 4, 8, 10, 12, 13, 16, 17, 24).

4. Трудовой кодекс Республики Узбекистан № 161-1 от 21 декабря 1995 г. (статьи 2, 16, 37, 211, 212, 213).

5. Закон Республики Узбекистан «Об охране труда» № 840-XXII от 6 мая 1993 г. (статьи 1, 2, 4, 8, 9, 13, 20, 22, 25).

6. Постановление Кабинета Министров РУз «О дальнейшем совершенствовании мер по охране труда работников» № 263 от 15 сентября 2014 года.

Содержание

1.

Выписка из Законов Республики Узбекистан …………................

3

2.

Содержание ........................................................................................

4

3.

Общие положения ………………………………………………….

5

4.

Классификация вибрации на рабочих местах …………………..

6

5.

Методы гигиенической оценки вибрации, нормируемые
параметры и их допустимые величины …………………………

 

9

6.

Инженерно технические и лечебно-профилактические
мероприятия по снижению неблагоприятного воздействия
вибрации на организм работающих ................................................

 

15

7.

Приложения 1 ....................................................................................

17

8.

Приложение 2 …………………………………………....................

18

9.

Приложения 3 ....................................................................................

19

10.

Приложения 4 ....................................................................................

19

11.

Приложения 5 ....................................................................................

20

12.

Приложения 6 ....................................................................................

22

13.

Приложения 7 ....................................................................................

23

1. ОБЩИЕ ПОЛОЖЕНИЯ

1.1. Санитарные нормы распространяются на вибрацию рабочих мест, воздействующую через опорные поверхности на тело и руки сидящего или стоящего человека при управлении производственным оборудованием, включая средства транспорта (кроме железнодорожного, водного и авиационного), стационарными, самоходными, прицепными машинами и механизмами (далее машины) и работе с вибрирующими ручными машинами, инструментами, обрабатываемыми деталями (далее – вибрирующее оборудование).

1.2. Санитарные нормы устанавливают:

- классификацию вибрации на рабочих местах;

- методы гигиенической оценки, нормируемые параметры и их допустимые величины;

- основные инженерно-технические и лечебно-профилактические мероприятия по снижению неблагоприятного воздействия вибрации на работающих.

1.3. Санитарные нормы и правила направлены на практическую реализацию Закона «О санитарно-эпидемиологическом благополучии населения» № 393 от 26 августа 2015 г. (статьи 18, 19, 20, 23, 28).

1.4. Требования настоящих норм должны быть учтены в нормативно-технических документах РТС, строительных нормах и правилах, технических условиях, инструкциях, методиках и т.п., регламентирующих конструктивные, технологические и эксплуатационные требования к производственным объектам, технологическому оборудованию.

1.5. Нормативный документ выполнен в соответствии Государственной научно-технической программы ИТД-10 по проекту АДСС-15.17.3 «Разработка методов ранней диагностики, профилактики и защитных терапевтических средств при комплексном воздействии промышленных гепатотоксических веществ, шума и вибрации».

1.6. Срок введения в действие санитарных норм устанавливается с момента их утверждения.

С вводом данного документа СанПиН РУз № 0122-01 считать утратившим силу.

2. КЛАССИФИКАЦИЯ ВИБРАЦИИ НА РАБОЧИХ МЕСТАХ

2.1. Воздействие вибрации на человека-оператора классифицируется:

- по способу передачи вибрации на человека;

- по направлению действия вибрации;

- по временной характеристике вибрации.

2.2. По способу передачи вибрации на человека различают общую и локальную вибрации.

Общая вибрация передается через опорные поверхности на тело сидящего или стоящего человека.

Локальная вибрация передается через руки человека.

Вибрация, воздействующая на ноги сидящего человека и на предплечья, контактирующие с вибрирующими поверхностями, может быть отнесена к локальной вибрации.

2.3. По направлению действия вибрацию подразделяют на вертикальную и горизонтальную в соответствии с направлением осей ортогональной системы координат. Направления координатных осей и составляющих вибрации приведены в приложении 1 для общей и в приложении 2 для локальной

2.4. По временной характеристике различаются:

- постоянная вибрация, для которой спектральный или корректированный по частоте контролируемый параметр за время наблюдения изменяется не более чем в 2 раза (6 дБ);

- непостоянная вибрация, для которой эти параметры за время наблюдения изменяются более чем в 2 раза (6 дБ).

Непостоянные общая и локальная вибрация подразделяются:

- на колеблющиеся во времени, для которых уровни виброскорости непрерывно изменяются во времени;

- на прерывистые, когда контакт оператора с вибрацией в процессе работы прерывается, причем длительность интервалов, в течение которых имеет место контакт, составляет более 1 с;

- на импульсные, состоящие из одного или нескольких вибрационных воздействий (например, ударов), каждый длительностью менее 1 с.

2.5. Общая вибрация по источнику ее возникновения подразделяется на следующие категории:

Категория 1 – транспортная вибрация, воздействующая на человека на рабочих местах самоходных и прицепных машин, транспортных средств при их движении по местности, агрофонам и дорогам (в том числе при их строительстве).

К источникам транспортной вибрации относят:

- тракторы сельскохозяйственные и промышленные, самоходные сельскохозяйственные машины (в том числе комбайны);

- автомобили грузовые (в том числе тягачи, скреперы, грейдеры, катки и т.д.);

- снегоочистители, самоходный горношахматный рельсовый транспорт.

Категория 2 – транспортно-технологическая вибрация, воздействующая на человека на рабочих местах с ограниченной подвижностью и перемещающихся только по специально подготовленным поверхностям производственных помещений, промышленных площадок и горных выработок.

К источникам транспортно-технологической вибрации относятся:

- экскаваторы (в том числе роторные), краны промышленные и строительные, машины для загрузки (завалочные) мартеновских печей в металлургическом производстве: горные комбайны, шахтные погрузочные машины, самоходные бурильные каретки;

- путевые машины, бетоноукладчики, напольный производственный транспорт.

Категория 3 – технологическая вибрация, воздействующая на человека на рабочих местах стационарных машин или передающейся на рабочие места, не имеющие источников вибрации.

К источникам технологической вибрации относят:

- станки металло- и деревообрабатывающие, кузнечнопрессовое оборудование, литейные машины, электрические машины, стационарные электрические установки, насосные агрегаты и вентиляторы, оборудование для бурения скважин, буровые станки, машины для животноводства, очистки и сортировки зерна (в том числе сушилки), оборудование промышленности стройматериалов (кроме бетоноукладчиков), установки химической и нефтехимической промышленности и др.

2.5.1. Общая вибрация категории 3 по месту действия подразделяется на следующие типы:

а) на постоянных рабочих местах производственных помещений предприятий;

б) на рабочих местах, на складах, в столовых, бытовых, дежурных и других производственных помещениях, где нет машин, генерирующих вибрацию;

в) на рабочих местах в помещениях заводоуправления, конструкторских бюро, лаборатории, учебных пунктов, вычислительных центров, здравпунктов, конторских помещениях, рабочих комнатах и других помещениях для работников умственного труда.

2.5.2. По направлению действия общая вибрация подразделяется на вертикальную и горизонтальную составляющие, действующие вдоль осей ортогональной системы координат.

Xо, Yо, Zо – согласно приложения 1.

2.5.3. По частотному составу общая вибрация на рабочих местах подразделяется:

- на низкочастотную с преобладанием максимальных уровней в октавных полосах – 2 и 4 Гц;

- на среднечастотную – 8 и 16 Гц;

- на высокочастотную – 31.5 и 63 Гц.

2.6. Локальная вибрация по источнику возникновения подразделяется:

- на передающиеся от ручных машин с двигателями (или ручного механизированного инструмента), органов ручного управления машинами и оборудованием;

- на передающиеся от ручных инструментов без двигателей (например, рихтовочные молотки разных моделей) и обрабатываемых деталей.

2.6.1. По направлению действия локальная вибрация подразделяется на вертикальную и горизонтальную составляющие, действующие вдоль всей ортогональной системы координат.

Xо, Yо, Zо – согласно приложения 2.

2.6.2. Локальная вибрация по частотному составу подразделяется:

- на низкочастотную с максимумом энергии в октавных полосах – 8 и 16 Гц;

- на среднечастотную – 31,5 и 63 Гц;

- на высокочастотную – 125, 250, 500 и 1000 Гц.

3. МЕТОДЫ ГИГИЕНИЧЕСКОЙ ОЦЕНКИ ВИБРАЦИИ, НОРМИРУЕМЫЕ ПАРАМЕТРЫ И ИХ ДОПУСТИМЫЕ ВЕЛИЧИНЫ

3.1. Гигиеническая оценка вибрации воздействующей на человека производится следующими методами:

- частотным (спектральным) анализом нормируемого параметра;

- интегральной оценкой по частоте нормируемого параметра;

- дозой вибрации.

Основным методом, характеризующим воздействие общей и локальной вибрации на человека является частотный анализ; ориентировочную оценку фактора допускается проводить интегральным по частоте методом, а для оценки вибрации с учетом времени воздействия – дозой вибрации.

3.2. При частотном (спектральном) анализе основными нормируемыми параметрами являются средние квадратические значения виброскорости «v», или виброускорения «a», (или их логарифмические уровни Lv, Lа) измеряемые в октавных полосах частот. Допускается использование нормируемых параметров измеренных в 1/3 октавных полосах частот.

3.2.1. Логарифмические уровни виброскорости Lv в дБ определяют по формуле:

V – среднее квадратическое значение виброскорости, м/с;

5·10-8 – опорное значение виброскорости, м/с.

Соотношение между логарифмическими уровнями виброскорости в дБ и ее значение в м/с приведены в приложении 3.

3.2.2. Логарифмические уровни виброскорости Lа в дБ определяют по формуле:

а – среднее квадратическое значение виброускорения, м/с2;

3·10-4 – опорное значение виброускорения, м/с2.

Соотношения между логарифмическими уровнями виброускорения в дБ и его значениями в м/с приведены в приложении 4.

3.3. При интегральной оценке по частоте нормируемым параметром является корректированное значение виброскорости или виброускорения (или их логарифмические уровни LŨ), измеряемые с помощью корректирующих фильтров или вычисляемые по формулам:

Ui, LUi – среднее квадратическое значение виброскорости или виброускорения (или их логарифмические уровни) в i – частотной полосе;

n – число частотных полос в нормируемом частотном диапазоне;

Ki, LKi – коэффициенты для i-й частотной полосы соответственно для абсолютных значений или их логарифмических уровней, определяемые по таблице 1 (для общей вибрации) и таблице 2 для локальной.

Таблица 1

Значения весовых коэффициентов Ki и LKi (дБ) для общей вибрации

Среднегеометрические частоты октавных полос, (Гц)

для виброускорения

для виброскорости

Zo

Xo, Yo

Zo

Xo, Yo

Ki

LKi

Ki

LKi

Ki

LKi

Ki

LKi

1,0

0,5

-6

1,0

0

0,045

-25

0,5

-6

2,0

0,71

-3

1,0

0

0,16

-16

0,9

-1

4,0

1,0

0

0,5

-6

0,45

-7

1,0

0

8,0

1,0

0

0,25

-12

0,9

-1

1,0

0

16,0

0,5

-6

0,125

-13

1,0

0

1,0

0

31,5

0,25

-12

0,063

-24

1,0

0

1,0

0

63,0

0,125

-16

0,0315

-30

1,0

0

1,0

0

Таблица 2

Значения весовых коэффициентов Ki и LКi (дБ) для локальной вибрации

Среднегеометрические частоты октавных полос, (Гц)

для виброускорения

для виброскорости

Xл, Yл

Xл, Yл

Ki

LKi

 

Ki

LKi

8

1,0

0

 

0,5

-6

16

1,0

0

 

1,0

0

31,5

0,5

-6

 

1,0

0

63

0,25

-12

 

1,0

0

125

0,125

-18

 

1,0

0

250

0,063

-24

 

1,0

0

500

0,0315

-30

 

1,0

0

1000

0,016

-36

 

1,0

0

Эквивалентный корректированный уровень непостоянной вибрации рассчитывается по формуле:

Li – значение корректированного уровня (дБ) за время измерений ʌti;

∑ Дti – общее время измерения (час).

Примеры расчетов корректированных и эквивалентных значений и их уровней даны в приложениях 5 и 6.

3.4. Предельнодопустимые величины нормируемых параметров вибрации на рабочих местах в октавных полосах частот при длительности вибрационного воздействия в течение 480 мин. (8 часов) приведены в таблицах:

в табл. 3 для вибрации категории 1 – транспортной;

в табл. 4 для вибрации категории 2 – транспортно-технологической;

в табл. 5 для вибрации категории 3 – технологической типа «а»;

в табл. 6 для вибрации категории 3 – технологической типа «б»;

в табл. 7 для вибрации категории 3 – технологической типа «в»;

в табл. 8 нормируемые параметры локальной вибрации.

Таблица 3

Санитарные нормы общей вибрации

категории 1 – транспортной

Среднегеометрические частоты октавных полос, (Гц)

Допустимые значения виброускорения и виброскорости в октавных полосах частот

виброускорение

виброскорость

м/с2

дБ

м/с2 · 10-2

дБ

Zo

Xo, Yo

Zo

Xo, Yo

Zo

Xo, Yo

Zo

Xo, Yo

1,0

1,12

0,4

71

62

20,0

6,3

132

122

2,0

0,8

0,4

68

62

7,1

3,5

123

117

4,0

0,56

0,8

65

68

2,5

3,2

114

116

8,0

0,56

1,6

65

74

1,3

3,2

108

116

16,0

1,12

3,15

71

80

1,1

3,2

107

116

31,5

2,24

6,3

77

86

1,1

3,2

107

116

63,0

4,50

12,50

83

92

1,1

3,2

107

116

Корректированные и эквивалентные корректированные значения и их уровни

0,56

0,4

65

62

1,1

3,2

107

116

Таблица 4

Санитарные нормы общей вибрации

категории 2 – транспортно-технологической

Среднегеометрические частоты октавных
полос, (Гц)

Допустимые значения виброускорения
и виброскорости по осям Zo, Xo, Yo

виброускорение

виброскорость

м/с2

дБ

м/с2 · 10-2

дБ

2,0

0,4

62

3,5

117

4,0

0,28

59

1,3

108

8,0

0,28

59

0,63

102

16,0

0,56

65

0,56

101

31,5

1,12

71

0,56

101

63,0

2,25

77

0,56

101

Корректированные
и эквивалентные корректированные значения и их уровни

0,28

59

0,56

101

Таблица 5

Санитарные нормы общей вибрации

категории 3 – технологической типа «а»

Среднегеометрические частоты октавных
полос, (Гц)

Допустимые значения виброускорения
и виброскорости по осям Zo, Xo, Yo

виброускорение

виброскорость

м/с2

дБ

м/с2 · 10-2

дБ

2,0

0,14

53

1,3

108

4,0

0,1

50

0,45

99

8,0

0,1

50

0,22

93

16,0

0,20

56

0,20

92

31,5

0,40

62

0,20

92

63,0

0,80

68

0,20

92

Корректированные
и эквивалентные корректированные значения и их уровни

0,1

50

0,2

92

Таблица 6

Санитарные нормы общей вибрации

категории 3 – технологической типа «б»

Среднегеометрические частоты октавных
полос, (Гц)

Допустимые значения виброускорения
и виброскорости по осям Zo, Xo, Yo

виброускорение

виброскорость

м/с2

дБ

м/с2 · 10-2

дБ

2,0

0,056

45

0,50

100

4,0

0,04

42

0,18

91

8,0

0,04

42

0,089

85

16,0

0,08

48

0,079

84

31,5

0,16

54

0,079

84

63,0

0,32

60

0,079

84

Корректированные
и эквивалентные корректированные значения и их уровни

0,04

42

0,079

84

Таблица 7

Санитарные нормы общей вибрации

категории 3 – технологической типа «в»

Среднегеометрические частоты октавных
полос, (Гц)

Допустимые значения виброускорения
и виброскорости по осям Zo, Xo, Yo

виброускорение

виброскорость

м/с2

дБ

м/с2 · 10-2

дБ

2,0

0,02

36

0,18

91

4,0

0,014

33

0,063

82

8,0

0,014

33

0,032

76

16,0

0,028

39

0,028

75

31,5

0,056

45

0,028

75

63,0

0,112

51

0,028

75

Корректированные
и эквивалентные корректированные значения и их уровни

0,014

33

0,028

75

Таблица 8

Санитарные нормы нормируемых параметров локальной вибрации

Среднегеометрические частоты октавных
полос, (Гц)

Допустимые значения виброускорения
и виброскорости по осям Zo, Xo, Yo

виброускорение

виброскорость

м/с2

дБ

м/с2 · 10-2

дБ

8

1,1

70

2,0

112

16

1,4

73

1,4

109

31,5

2,7

79

1,4

109

63

5,4

85

1,4

109

125

10,7

91

1,4

109

250

21,3

97

1,4

109

500

42,5

103

1,4

109

1000

85,0

109

1,4

109

Корректированные
и эквивалентные корректированные значения и их уровни

2,0

76

2,0

112

3.5. Методика измерения нормируемых параметров вибрации на рабо-чих местах должна выполняться в соответствии с требованиями, ССБТ. ГОСТ 12.1.012-90. Вибрационная безопасность. Общие требования.

3.6. Результаты измерений вибрации должны оформляться протоколами по форме в соответствии с приложением 7.

4. ИНЖЕНЕРНО-ТЕХНИЧЕСКИЕ

И ЛЕЧЕБНО-ПРОФИЛАКТИЧЕСКИЕ МЕРОПРИЯТИЯ

ПО СНИЖЕНИЮ НЕБЛАГОПРИЯТНОГО ВОЗДЕЙСТВИЯ

ВИБРАЦИИ НА ОРГАНИЗМ РАБОТАЮЩИХ

4.1. Коллективные средства защиты от вибрации связаны в основном, с динамическим уравновешиванием, изменением частоты колебаний оборудования для предотвращения от резонансных явлений, вибродемпфированием, и виброизоляцией.

4.2. В качестве индивидуальных средств защиты рекомендуются: виброзащитная обувь, виброзащитные рукавицы, которые выбираются в зависимости от частоты и уровня воздействующей вибрации. Эффективным методом является разработка режимов труда и отдыха, работающих с виброопасным оборудованием.

Приложение 1 (обязательное)

Направление координатных осей при действии общей вибрации:

а – положение стоя;

б – положение сидя;

ось Zo – вертикальная, перпендикулярная опорной поверхности тела в местах его контакта с сидением;

ось Xo – горизонтальная, параллельная опорной поверхности от спины к груди;

ось Yo – горизонтальная, параллельная опорной поверхности от правого плеча к левому.

Приложение 2

Направление координатных осей при действии вибрации:

а – при охвате цилиндрических (и торцовых) поверхностей;

б – при охвате сферических поверхностей

Приложение 3 (справочное)

Соотношение между логарифмическими уровнями виброскорости в дБ и ее значениями в м/с

Десятки

Единицы дБ

дБ

0

1

2

3

4

5

6

7

8

9

50

1,6·10-5

1,8·10-5

2,0·10-5

2,2·10-5

2,5·10-5

2,8·10-5

3,2·10-5

3,5·10-5

4,0·10-5

4,5·10-5

60

5,0·10-5

5,6·10-5

6,3·10-5

7,1·10-5

7,9·10-5

8,9·10-5

1,0·10-4

1,1·10-4

1,3·10-4

1,4·10-4

70

1,6·10-4

1,8·10-4

2,0·10-4

2,2·10-4

2,5·10-4

2,8·10-4

3,2·10-4

3,5·10-4

4,0·10-4

4,5·10-4

80

5,0·10-4

5,6·10-4

6,3·10-4

7,1·10-4

7,9·10-4

8,9·10-4

1,0·10-3

1,1·10-3

1,3·10-3

1,4·10-3

90

1,6·10-3

1,8·10-3

2,0·10-3

2,2·10-3

2,5·10-3

2,8·10-3

3,2·10-3

3,5·10-3

4,0·10-3

4,5·10-3

100

5,0·10-3

5,6·10-3

6,3·10-3

7,1·10-3

7,9·10-3

8,9·10-3

1,0·10-2

1,1·10-2

1,3·10-2

1,4·10-2

110

1,6·10-2

1,8·10-2

2,0·10-2

2,2·10-2

2,5·10-2

2,8·10-2

3,2·10-2

3,5·10-2

4,0·10-2

4,5·10-2

120

5,0·10-2

5,6·10-2

6,3·10-2

7,1·10-2

7,9·10-2

8,9·10-2

1,0·10-1

1,0·10-1

1,1·10-1

1,4·10-1

130

1,6·10-1

1,8·10-1

2,0·10-1

2,2·10-1

2,5·10-1

2,8·10-1

3,2·10-1

3,5·10-1

4,0·10-1

4,5·10-1

140

5,0·10-1

5,6·10-1

6,3·10-1

7,1·10-1

7,9·10-1

7,9·10-1

8,9·10-1

1,0

1,3

1,4

Приложение 4 (справочное)

Соотношение между логарифмическими уровнями виброускорения
в дБ и его значениями в м/с2

Десятки

Единицы дБ

дБ

0

1

2

3

4

5

6

7

8

9

20

3,0·10-3

3,4·10-3

3,8·10-3

4,2·10-3

4,8·10-3

5,3·10-3

6,0·10-3

6,7·10-3

7,6·10-3

8,5·10-3

30

9,5·10-3

1,1·10-2

1,2·10-2

1,3·10-2

1,5·10-2

1,7·10-2

1,9·10-2

2,1·10-2

2,4·10-2

2,7·10-2

40

3,0·10-2

3,4·10-2

3,8·10-2

4,2·10-2

4,8·10-2

5,3·10-2

6,0·10-2

6,7·10-2

7,6·10-2

8,5·10-2

50

9,5·10-2

1,1·10-1

1,2·10-1

1,3·10-1

1,5·10-1

1,7·10-1

1,9·10-1

2,1·10-1

2,4·10-1

2,7·10-1

60

3,0·10-1

3,4·10-1

3,8·10-1

4,2·10-1

4,8·10-1

5,3·10-1

6,0·10-1

6,7·10-1

7,6·10-1

8,5·10-1

70

9,5·10-1

1,1

1,2

1,3

1,5

1,7

1,9

2,1

2,4

2,7

80

3,0

3,4

3,8

4,2

4,8

5,3

6,0

6,7

7,6

8,5

90

9,5

1,1·10

1,2·10

1,3·10

1,5·10

1,7·10

1,9·10

2,1·10

2,4·10

2,7·10

100

3,0·10

3,4·10

3,8·10

4,2·10

4,8·10

5,3·10

6,0·10

6,7·10

7,6·10

8,5·10

110

9,5·10

1,1·102

1,2·102

1,3·102

1,5·102

1,7·102

1,9·102

2,1·102

2,4·102

2,7·102

Приложение 5

Пример расчета корректированного уровня виброскорости
по формуле 4 п.3.3.

Частоты Гц

Уровни виброскорости, дБ

Значения весовых коэффициентов дБ

Корректированный спектр

Данные попарного суммирования уровней с учетом поправок таблицы

8

108

-6

102

112,4

16

112

0

112

121,9

31,5

120

0

120

121,5

63

116

0

116

123

125

111

0

111

112,5

250

107

0

107

113,5

500

104

0

104

-

1000

103

0

103

106,5

Таблица

Правило сложения логарифмических величин

Разность слагаемых уровней (Lmax – Lmin), дБ

0

1

2

3

4

5

6

7

8

10

Добавка △L прибавляемая к большему из уровней, дБ

3

2,5

2,2

1,6

1,5

1,2

1

0,8

0,6

0,4

Приложение 5 (прод.)

При обработки чугунного литья молотком М3 были получены следующие данные по виброскорости на рукоятке молотка:

Пример расчета корректированного значения и уровня виброскорости

Среднегеометрические частоты, Гц

Уровни виброскорости, дБ

Абсолютные значения виброскорости, м/с

Обозначение

Значение весового коэффициента, Ki

8

108

1,3·10-2

U1

0,5

16

112

2,0·10-2

U2

1

31,5

120

5,0·10-2

U3

1

63

116

3,2·10-2

U4

1

125

111

1,8·10-2

U5

1

250

107

1,1·10-2

U6

1

500

104

7,9·10-3

U7

1

1000

103

7,1·10-3

U8

1

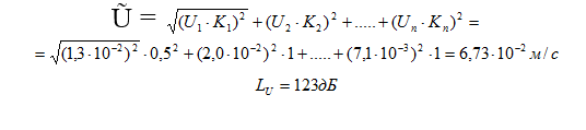
Требуется определить корректированное значение виброскорости, по формуле 3 п.3.3.

находим:

Приложение 6

Пример расчета эквивалентного корректированного уровня виброскорости

Эквивалентный по энергии корректированный уровень, являющийся одночисловой характеристикой непостоянной вибрации, получается в результате усреднения фактических уровней с учетом времени действия каждого.

L1, L2 ….. Ln – уровни виброскорости (виброускорения), действующие в течение времени t1, t2 ..… tn соответственно;
T = t1, + t2 ….. + tn – общее время действия вибрации в мин или часах.

Корректированные уровни виброскорости, дБ

Время действия данного уровня в течение смены согласно технологическому регламенту, час

Поправка на время действия уровня по таблице

Уровни виброскорости с учетом поправок на время, дБ

Экв. корректированный уровень виброскорости, полученный путем попарного суммирования уровней по таблице

108

1

-9

99

103,2

107

2

-6

101

103,2

116

0,5

-12

103

106

110

1

-9

101

107,2

104

3

-4,2

100

108

Таблица

Поправка на время действия уровня вибрации

Время в мин.

480

420

360

300

240

180

120

60

30

15

5

Время в % 8 часовой смены

100

88

75

62

50

38

25

12

6

3

1

Поправка в дБ

0

-0,6

-1,2

-2

-3

-4,2

-6

-9

-12

-15

-20

Приложение 7

Наименование учреждения
__________________________________________________________________
Министерство здравоохранения Республики Узбекистан

ПРОТОКОЛ № ___
измерения вибрации
от «____» _____________ 20__ г.

1. Место проведения измерений _________________________________

__________________________________________________________________
(наименование объекта, цех, участок, отделение, адрес)

2. Измерения проводились в присутствии представителя обследуемого учреждения

________________________________________________________
(должность, фамилия, имя, отчество)

3. Средства измерений _________________________________________
__________________________________________________________________
(наименование, тип, страна-производитель, зав. номер)

4. Сведения о государственной поверке___________________________
__________________________________________________________________
(дата и номер сертификата соответствия)

5. Нормативно-техническая документация, в соответствии с которой
проводились измерения, и давалось заключение _________________________

__________________________________________________________________

__________________________________________________________________

6. Основные источники вибрации и характер создаваемой ими вибрации

_______________________________________________________________
__________________________________________________________________

7. Эскиз помещения (рабочего места, ручной машины) с нанесением источников вибрации. Порядковые номера точек замеров.

8. Результаты измерений вибрации

№ п/п

Место замера (тип, марка оборудования, инструментария).
Профессия по ЕТКС

Уровни вибрации, дБ, в октавных полосах среднегеометрических частот, Гц

Коррект. и эквив. коррект. значения и их уровни, дБ

2

4

8

16

31,5

63

125

250

500

1000

 

 

 

 

 

 

 

 

 

 

 

 

 

 

 

 

 

 

 

 

 

 

 

 

 

 

 

 

 

 

 

 

 

 

 

 

 

 

 

 

 

 

 

 

 

 

 

 

 

 

 

 

 

 

 

 

 

 

 

 

 

 

 

 

 

 

 

 

 

 

 

 

 

 

 

 

 

 

 

 

 

 

 

 

 

 

 

 

 

 

 

Заключение: ______________________________________________________
__________________________________________________________________
__________________________________________________________________
__________________________________________________________________
__________________________________________________________________

Измерения проводил ___________________________________________
___________________________________________________________ подпись
(должность, фамилия, имя, отчество)

«____» ______________ 20___ г.

ВЫПИСКА

из протокола №3 заседания Ученого совета НИИ санитарии, гигиены и

профзаболеваний М3 РУз

г. Ташкент от 24 марта 2015 года
Председатель Ученого совета Камилова Р.Т.
Ученый секретарь Хаширбаева Д.М.

 

ПРИСУТСТВОВАЛИ: 15 из 19 членов Ученого совета института.

ПОВЕСТКА ДНЯ:

1. Рассмотрение и обсуждение инструктивно - методических документов.

СЛУШАЛИ: академика АН РУз Искандарова Т.И., который доложил основные положения переработанного СанПиН РУз «Санитарные нормы общей и локальной вибрации на рабочих местах». В нормативном документе представлены классификация вибрации на рабочих местах, методы

гигиенической оценки и средства измерения, нормируемые параметры для различных источников и категории вибрации, значения весовых коэффициентов для расчёта корректированного уровня виброскорости или виброускорения.

На переработанный СанПиН РУз имеются положительные рецензии доцента кафедры коммунальной гигиены и гигиены груда ТМА, к.м.н. Шеркузиевой Г.Ф., заведующего отделением Республиканского ЦГСЭН Туйчиева Д., заведующего лабораторией промышленной токсикологии и гигиены труда НИИ СГПЗМЗ РУз, к.м.н., с.н.с. Шамансуровой Х.Ш.

ВЫСТУПИЛИ: к.м.н., с.н.с. Славинская Н.В. с предложением одобрить и рекомендовать для дальнейшего рассмотрения в установленном порядке.

Голосование «за» - 15; «против» - нет и «воздержавшихся» - нет.

РЕШИЛИ: Переработанный СанПиН РУз «Санитарные нормы общей и локальной вибрации на рабочих местах» одобрить и рекомендовать для дальнейшего рассмотрения в установленном порядке.

 

Председатель Ученого совета,

д.м.н., профессор

Камилова Р.Т.
Ученый секретарь, к.м.н. Хаширбаева Д.М

Номер документа:  0326-16
Дата принятия:  01.02.2016

Последние события

Реклама

Реклама на сайте

Rambler's Top100         MedLinks - Вся медицина в Интернет                 Яндекс.Метрика
Сертифицированный партнёр 1с-Битрикс

Copyright © WWW.MED.UZ - Медицинский портал Узбекистана, 2005-2026 
Все права защищены. Вся информация, размещённая на данном веб-сайте, предназначена только для
персонального использования и не подлежит дальнейшему воспроизведению и/или распространению
в какой-либо форме, иначе как с письменного разрешения компании MedNetSoft

Контакты:
Tel.: +998 (71) 200-92-22
Fax.: +998 (71) 200-92-22
e-mail:
info@mednetsoft.uz